71. The ends of a line segment are $$P\left( {1,\,3} \right)$$  and $$Q\left( {1,\,1} \right).\,R$$   is a point on the line segment $$PQ$$ such that $$PR:QR = 1:\lambda .$$    If $$R$$ is an interior point of the parabola $${y^2} = 4x$$   then :

A $$\lambda \, \in \,\left( {0,\,1} \right)$$
B $$\lambda \, \in \,\left( { - \frac{3}{5},\,1} \right)$$
C $$\lambda \, \in \,\left( {\frac{1}{2},\,\frac{3}{5}} \right)$$
D none of these
Answer :   $$\lambda \, \in \,\left( {0,\,1} \right)$$
Discuss Question

72. The slope of the line touching both the parabolas $${y^2} = 4x$$  and $${x^2} = - 32y$$   is-

A $$\frac{1}{8}$$
B $$\frac{2}{3}$$
C $$\frac{1}{2}$$
D $$\frac{3}{2}$$
Answer :   $$\frac{1}{2}$$
Discuss Question

73. The focus of the parabola $${y^2} - x - 2y + 2 = 0$$     is :

A $$\left( {\frac{5}{4},\,1} \right)$$
B $$\left( {\frac{1}{4},\,0} \right)$$
C $$\left( {1,\,1} \right)$$
D none of these
Answer :   $$\left( {\frac{5}{4},\,1} \right)$$
Discuss Question

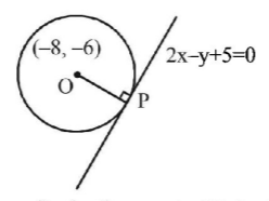
74. Let $$P$$ be the point on the parabola, $${y^2} = 8x$$  which is at a minimum distance from the centre $$C$$ of the circle, $${x^2} + {\left( {y + 6} \right)^2} = 1.$$    Then the equation of the circle, passing through $$C$$ and having its centre at $$P$$ is:

A $${x^2} + {y^2} - \frac{x}{4} + 2y - 24 = 0$$
B $${x^2} + {y^2} - 4x + 9y + 18 = 0$$
C $${x^2} + {y^2} - 4x + 8y + 12 = 0$$
D $${x^2} + {y^2} - x + 4y - 12 = 0$$
Answer :   $${x^2} + {y^2} - 4x + 8y + 12 = 0$$
Discuss Question

75. The number of distinct normals that can be drawn from $$\left( { - 2,\,1} \right)$$  to the parabola $${y^2} - 4x - 2y - 3 = 0$$     is :

A 1
B 2
C 3
D 0
Answer :   1
Discuss Question

76. A tangent to the parabola $${y^2} = 8x,$$   which makes an angle of $${45^ \circ }$$  with the straight line $$y = 3x + 5$$   is :

A $$2x - y + 1 = 0$$
B $$2x + y + 1 = 0$$
C $$x - 2y + 8 = 0$$
D Both (B) and (C)
Answer :   Both (B) and (C)
Discuss Question

77. The equation of the common tangent to the equal parabolas $${y^2} = 4ax$$   and $${x^2} = 4ay$$   is :

A $$x + y + a = 0$$
B $$x + y = a$$
C $$x - y = a$$
D none of these
Answer :   $$x + y + a = 0$$
Discuss Question

78. If the tangent at $$\left( {1,\,7} \right)$$  to the curve $${x^2} = y - 6$$   touches the circle $${x^2} + {y^2} + 16x + 12y + c = 0$$       then the value of $$c$$ is :

A $$185$$
B $$85$$
C $$95$$
D $$195$$
Answer :   $$95$$
Discuss Question

79. The vertex of the parabola $${y^2} = 8x$$  is at the centre of a circle and the parabola cuts the circle at the ends of its latus rectum. Then the equation of the circle is :

A $${x^2} + {y^2} = 4$$
B $${x^2} + {y^2} = 20$$
C $${x^2} + {y^2} = 80$$
D none of these
Answer :   $${x^2} + {y^2} = 20$$
Discuss Question

80. The equation of the axis of the parabola $$9{y^2} - 16x - 12y - 57 = 0$$      is :

A $$2x = 3$$
B $$y = 3$$
C $$3y = 2$$
D $$x + 3y = 3$$
Answer :   $$3y = 2$$
Discuss Question


Practice More MCQ Question on Maths Section