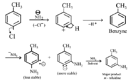
Electrophilic substitution takes place at electron rich positions. The ring attached with $$- NH$$ will have rich electron density due to resonance. As $$ortho$$ - position is blocked, the electrophile attacks the $$para$$ - position.
143.
\[C{{l}^{-}}{{H}_{3}}{{N}^{+}}\] \[{{N}^{+}}{{H}_{3}}C{{l}^{-}}\xrightarrow{\text{heat}}Z;Z\] is
\[\underset{\begin{smallmatrix}
\text{Benzene} \\
\text{diazoniumchloride}
\end{smallmatrix}}{\mathop{{{C}_{6}}{{H}_{5}}{{N}_{2}}Cl}}\,\xrightarrow[\text{or}\,\,Cu+HCl]{CuCl/HCl}\underset{\text{Chloro benzene}}{\mathop{{{C}_{6}}{{H}_{5}}Cl}}\,+{{N}_{2}}\]
The above reaction is known as Sandmayer’s reaction.
145.
An organic compound $$'A'$$ having molecular formula \[{{C}_{2}}{{H}_{3}}N\] on reduction gave another compound $$'B'.$$ Upon treatment with nitrous acid, $$'B'$$ gave ethyl alcohol. On warming with chloroform and alcoholic $$KOH,$$ $$B$$ formed an offensive smelling compound $$'C'.$$ The compound $$'C'$$ is
A
\[C{{H}_{3}}C{{H}_{2}}N{{H}_{2}}\]
B
\[C{{H}_{3}}C{{H}_{2}}N\overset{\to }{\mathop{=}}\,C\]
Given reactions indicate that $$B$$ has \[{{1}^{\circ }}N{{H}_{2}}\] group, and thus \[A,{{C}_{2}}{{H}_{3}}N,\] should be \[C{{H}_{3}}C\equiv N.\] Hence $$C$$ should be \[C{{H}_{3}}C{{H}_{2}}NC\]
\[\underset{A}{\mathop{C{{H}_{3}}C\equiv N}}\,\xrightarrow{\text{reduction}}\underset{B}{\mathop{C{{H}_{3}}C{{H}_{2}}N{{H}_{2}}}}\,\xrightarrow[KOH]{CHC{{l}_{3}}}\underset{C}{\mathop{C{{H}_{3}}C{{H}_{2}}N\overset{\to }{\mathop{=}}\,C}}\,\]
146.
The amines are basic in nature, hence they form salts with hydrochloric acid. Which of the following will be insoluble in dil. $$HCl?$$
\[C{{H}_{3}}-N\equiv C+4\left[ H \right]\xrightarrow{LiAl{{H}_{4}}}\underset{\text{Dimethylamine}}{\mathop{C{{H}_{3}}NHC{{H}_{3}}}}\,\]
On catalytic reduction or with lithium aluminium hydride $$\left( {LiAl{H_4}} \right)$$ or with nascent hydrogen, alkyl isocyanide yield $${2^ \circ }$$ amine whereas cyanide gives $${1^ \circ }$$ amine on reduction.
149.
Which of the following statements about primary amines is false?
A
Alkyl amines are stronger bases than aryl amines
B
Alkyl amines react with nitrous acid to produce alcohols
C
Alkyl amines react with nitrous acid to produce phenols
D
Alkyl amines are stronger bases than ammonia
Answer :
Alkyl amines react with nitrous acid to produce phenols
Key Idea (i) Presence of electron withdrawing substituent decreases the basicity while the presence of electron releasing substituent like, $$ - C{H_3}, - {C_2}{H_5},$$ etc, increases the acidity.
(ii) $$HN{O_2}$$ converts $$ - N{H_2}$$ group of aliphatic amine into $$ - OH$$ while that of aromatic amines into $$ - N = NCl.$$
Since, phenyl group is a electron withdrawing group, it decreases the basicity. Alkyl group, on the other hand, being electron releasing, increases the basicity. Thus, alkyl amines are more basic as compared to aryl amines as well as ammonia.
\[R-\underset{\text{Alkyl amine}}{\mathop{N{{H}_{2}}}}\,\xrightarrow{HN{{O}_{2}}}R-OH\]
Thus, $$HN{O_2}$$ (nitrous acid) converts alkyl amines to alcohols.
But aryl amines react with nitrous acid to form diazonium salt.
\[\underset{\text{Aryl amine}}{\mathop{{{C}_{6}}{{H}_{5}}N{{H}_{2}}}}\,\underset{\left( 273-278\,K \right)}{\mathop{\xrightarrow[0-{{5}^{\circ }}C]{HN{{O}_{2}}}}}\,{{C}_{6}}{{H}_{5}}-N_{2}^{+}Cl\]
$${\text{at}}\,\,{0^ \circ }{\text{ - }}{5^ \circ }C\,\,{\text{temperature}}$$
$$NaN{O_2} + HCl \to HN{O_2} + NaCl$$
Thus, $$HN{O_2}$$ does not convert aryl amines into phenol.
150.
The major product obtained when $$B{r_2}/Fe$$ is treated with
TIPS/Formulae : $$- NH$$ is an activating group whereas as
group is a deactivating group.
Hence electrophilic substitution will be governed by
the ring having group.