121. A compound $$'A'$$  when treated with \[HN{{O}_{3}}\]  ( in presence of \[{{H}_{2}}S{{O}_{4}}\]  ) gives compound $$'B',$$  which is then reduced with $$Sn$$  and $$HCl$$  to aniline ? The compound $$'A'$$  is

A toluene
B benzene
C ethane
D acetamide
Answer :   benzene
Discuss Question

122. The source of nitrogen in Gabriel synthesis of amines is

A sodium azide, $$Na{N_3}$$
B sodium nitrite, $$NaN{O_2}$$
C potassium cyanide, $$KCN$$
D potassium phthalimide, $${C_6}{H_4}{\left( {CO} \right)_2}{N^ - }{K^ + }$$
Answer :   potassium phthalimide, $${C_6}{H_4}{\left( {CO} \right)_2}{N^ - }{K^ + }$$
Discuss Question

123. Tertiary amines have lowest boiling points amongst isomeric amines because

A they have highest molecular mass
B they do not form hydrogen bonds
C they are more polar in nature
D they are most basic in nature
Answer :   they do not form hydrogen bonds
Discuss Question

124. Phenyl isocyanides are prepared from which of the following reaction?

A Rosenmund's reaction
B Carbylamine reaction
C Reimer - Tiemann reaction
D Wurtz reaction
Answer :   Carbylamine reaction
Discuss Question

125. The compound which on reaction with aqueous nitrous acid at low temperature produces an oily nitrosamine is

A methylamine
B ethylamine
C diethylamine
D triethylamine
Answer :   diethylamine
Discuss Question

126. Predict the product
Organic Compounds Containing Nitrogen mcq question image

A Organic Compounds Containing Nitrogen mcq option image
B Organic Compounds Containing Nitrogen mcq option image
C Organic Compounds Containing Nitrogen mcq option image
D Organic Compounds Containing Nitrogen mcq option image
Answer :   Organic Compounds Containing Nitrogen mcq option image
Discuss Question

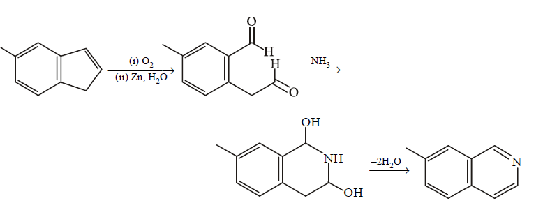
127. In the following reactions, the product $$S$$  is
Organic Compounds Containing Nitrogen mcq question image  \[\xrightarrow[\text{ii}.\,Zn,\,{{H}_{2}}O]{\text{i}.\,{{O}_{3}}}R\xrightarrow{N{{H}_{3}}}S\]

A Organic Compounds Containing Nitrogen mcq option image
B Organic Compounds Containing Nitrogen mcq option image
C Organic Compounds Containing Nitrogen mcq option image
D Organic Compounds Containing Nitrogen mcq option image
Answer :   Organic Compounds Containing Nitrogen mcq option image
Discuss Question

128. When aniline is heated with conc. $${H_2}S{O_4}$$  at $$455 - 475\,K,$$   it forms

A aniline hydrogensulphate
B sulphanilic acid
C amino benzene sulphonic acid
D benzenesulphonic acid
Answer :   sulphanilic acid
Discuss Question

129. Identify the correct pathway to convert propanoic acid to ethylamine. The reagent represented by $$A, B$$  and $$C$$ are \[C{{H}_{3}}C{{H}_{2}}COOH\xrightarrow{A}X\xrightarrow{B}\]     \[Y\xrightarrow{C}C{{H}_{3}}C{{H}_{2}}N{{H}_{2}}\]
$$A$$ $$B$$ $$C$$
(a) $$Ca{\left( {OH} \right)_2}$$ Heat $$Pt/{H_2}$$
(b) $$SOC{l_2}$$ $$N{H_3}$$ $$B{r_2}/KOH$$
(c) $$HN{O_2}$$ $$P + {I_2}$$ $$LiAl{H_4}$$
(d) $$HCN$$ $$N{H_3}$$ $$B{r_2}/KOH$$

A (a)
B (b)
C (c)
D (d)
Answer :   (b)
Discuss Question

130. The correct order of basicities of the following compounds is
Organic Compounds Containing Nitrogen mcq question image

A 2 > 1 > 3 > 4
B 1 > 3 > 2 > 4
C 3 > 1 > 2 > 4
D 1 > 2 > 3 > 4
Answer :   1 > 3 > 2 > 4
Discuss Question


Practice More MCQ Question on Chemistry Section