81. Although benzene is highly unsaturated it does not undergo addition reactions. The explanation of this can be suggested as

A $$\pi $$ - electrons of benzene ring are delocalised
B since $$\pi $$ - electrons are present inside the ring, addition cannot take place
C cyclic structures do not show addition reactions
D benzene is not a reactive compound
Answer :   $$\pi $$ - electrons of benzene ring are delocalised
Discuss Question

82. Identify the reagent from the following list which can easily distinguish between 1-butyne and 2-butyne

A bromine, $$CC{l_4}$$
B $${H_2},$$  Lindlar catalyst
C dilute $${H_2}S{O_4},HgS{O_4}$$
D ammonical $$C{u_2}C{l_2}$$   solution
Answer :   ammonical $$C{u_2}C{l_2}$$   solution
Discuss Question

83. Which of the following reactions of methane is incomplete combustion?

A \[2C{{H}_{4}}+{{O}_{2}}\xrightarrow{Cu/523\,K/100\,atm}2C{{H}_{3}}OH\]
B \[C{{H}_{4}}+{{O}_{2}}\xrightarrow{M{{o}_{2}}{{O}_{3}}}HCHO+{{H}_{2}}O\]
C $$C{H_4} + {O_2} \to {C_{\left( s \right)}} + 2{H_2}{O_{\left( l \right)}}$$
D $$C{H_4} + 2{O_2} \to C{O_{2\left( g \right)}} + 2{H_2}{O_{\left( l \right)}}$$
Answer :   $$C{H_4} + {O_2} \to {C_{\left( s \right)}} + 2{H_2}{O_{\left( l \right)}}$$
Discuss Question

84. Which of the following reactions is expected to readily give a hydrocarbon product in good yields ?

A \[RCOOK\xrightarrow[\text{oxidation}]{\text{Electrolytic}}\]
B \[RCOOAg\xrightarrow{{{l}_{2}}}\]
C \[C{{H}_{3}}C{{H}_{3}}\xrightarrow[h\nu .]{C{{l}_{2}}}\]
D \[{{\left( C{{H}_{3}} \right)}_{2}}CCl\xrightarrow{{{C}_{2}}{{H}_{5}}OH}\]
Answer :   \[RCOOK\xrightarrow[\text{oxidation}]{\text{Electrolytic}}\]
Discuss Question

85. Which alkene on ozonolysis gives Hydrocarbons (Alkane, Alkene and Alkyne) mcq question image

A Hydrocarbons (Alkane, Alkene and Alkyne) mcq option image
B Hydrocarbons (Alkane, Alkene and Alkyne) mcq option image
C Hydrocarbons (Alkane, Alkene and Alkyne) mcq option image
D Hydrocarbons (Alkane, Alkene and Alkyne) mcq option image
Answer :   Hydrocarbons (Alkane, Alkene and Alkyne) mcq option image
Discuss Question

86. Isomers of hexane, based on their branching, can be divided into three distinct classes as shown in the figure.
Hydrocarbons (Alkane, Alkene and Alkyne) mcq question image
The correct order of their boiling point is

A I > II > III
B III > II > I
C II > III > I
D III > I > II
Answer :   III > II > I
Discuss Question

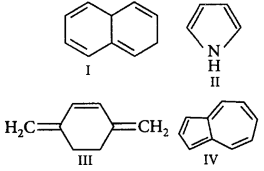
87. Which of the following will exhibit aromatic character?
Hydrocarbons (Alkane, Alkene and Alkyne) mcq question image

A I, III
B III, IV
C II, IV
D II, III
Answer :   II, IV
Discuss Question

88. The two compounds $$A$$  and $$B$$  obtained from 1-butyne can be distinguished by
\[B\xleftarrow[\left( ii \right)\,{{H}_{2}}{{O}_{2}}/O{{H}^{-}}]{\left( i \right)\,B{{H}_{3}}}C{{H}_{3}}C{{H}_{2}}C\equiv CH\xrightarrow{{{H}^{+}}/H{{g}^{2+}}}A\]

A $$NaHS{O_3}$$
B $${\text{litmus solution}}$$
C $${\text{iodoform test}}$$
D $$2,4{\text{ - }}DNP$$
Answer :   $${\text{iodoform test}}$$
Discuss Question

89. In the following sequence of reactions, the alkene affords region 3 the compound $$'B’$$
\[C{{H}_{3}}-CH=CH-C{{H}_{3}}\xrightarrow{{{O}_{3}}}A\xrightarrow[Zn]{{{H}_{2}}O}B.\]
The compound $$B$$ is

A $$C{H_3}C{H_2}CHO$$
B $$C{H_3}COC{H_3}$$
C $$C{H_3}C{H_2}COC{H_3}$$
D $$C{H_3}CHO$$
Answer :   $$C{H_3}CHO$$
Discuss Question

90. Match the column I with column II and mark the appropriate choice.
Column I Column II
a. Alkyl halide + Sodium in presence of dry ether 1. Sulphonation
b. Arene + Acid halide in presence of $$AlC{l_3}$$ 2. Wurtz reaction
c. Arene + Fuming sulphuric acid 3. Catalytic hydrogenation
d. Arene + Hydrogen in presence of $$Ni$$ 4. Friedel-Crafts reaction

A a - 1, b - 3, c - 2, d - 4
B a - 4, b - 2, c - 3, d - 1
C a - 3, b - 1, c - 4, d - 2
D a - 2, b - 4, c - 1, d - 3
Answer :   a - 2, b - 4, c - 1, d - 3
Discuss Question


Practice More MCQ Question on Chemistry Section