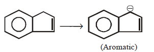
41. All the hydrocarbons shown are very weak acids. One, however, is far more acidic than the others. Which one is the strongest acid ?

A Hydrocarbons (Alkane, Alkene and Alkyne) mcq option image
B Hydrocarbons (Alkane, Alkene and Alkyne) mcq option image
C Hydrocarbons (Alkane, Alkene and Alkyne) mcq option image
D Hydrocarbons (Alkane, Alkene and Alkyne) mcq option image
Answer :   Hydrocarbons (Alkane, Alkene and Alkyne) mcq option image
Discuss Question

42. Baeyer’s reagent is :

A alkaline permanganate solution
B acidified permanganate solution
C neutral permanganate solution
D aqueous bromine solution
Answer :   alkaline permanganate solution
Discuss Question

43. Presence of unsaturation in organic compounds can be tested with

A Fehling's reagent
B Tollens' reagent
C Baeyer's reagent
D Fittig's reaction
Answer :   Baeyer's reagent
Discuss Question

44. The treatment of $$C{H_3}MgX$$   with   $$C{H_3}C \equiv C - H$$    produces

A $$C{H_3} - CH = C{H_2}$$
B $$C{H_3}C \equiv C - C{H_3}$$
C \[C{{H}_{3}}-\overset{\begin{smallmatrix} H \\ | \end{smallmatrix}}{\mathop{C}}\,=\overset{\begin{smallmatrix} H \\ | \end{smallmatrix}}{\mathop{C}}\,-C{{H}_{3}}\]
D $$C{H_4}$$
Answer :   $$C{H_4}$$
Discuss Question

45. Reaction of one molecule of $$HBr$$  with one molecule of 1, 3 - butadiene at $${40^ \circ }C$$  gives predominantly

A 1 - bromo - 2 - butene under kinetically controlled conditions
B 3 - bromobutene under thermodynamically controlled predominantly conditions
C 1 - bromo - 2 - butene under thermodynamically controlled conditions
D 3 - bromobutene under kinetically controlled conditions
Answer :   1 - bromo - 2 - butene under thermodynamically controlled conditions
Discuss Question

46. How many structures are possible for $${C_5}{H_8}$$  with one triple bond?

A 4
B 3
C 2
D 1
Answer :   3
Discuss Question

47. The most acidic hydrogen atoms are present in

A ethane
B ethene
C ethyne
D benzene
Answer :   ethyne
Discuss Question

48. When acetylene is passed through $$dil \cdot {H_2}S{O_4}$$   in presence of $$HgS{O_4},$$  the compound formed is

A ether
B ketone
C acetic acid
D acetaldehyde
Answer :   acetaldehyde
Discuss Question

49. The alkene that exhibits geometrical isomerism is

A propene
B 2-methylpropene
C 2-butene
D 2-methyl-2-butene
Answer :   2-butene
Discuss Question

50. The major product of the following reaction sequence is :
Hydrocarbons (Alkane, Alkene and Alkyne) mcq question image   \[\xrightarrow[2.\,{{H}_{2}}{{O}_{2}},\,H{{O}^{-}}]{1.\,{{B}_{2}}{{H}_{6}}}?\]

A Hydrocarbons (Alkane, Alkene and Alkyne) mcq option image
B Hydrocarbons (Alkane, Alkene and Alkyne) mcq option image
C Hydrocarbons (Alkane, Alkene and Alkyne) mcq option image
D Hydrocarbons (Alkane, Alkene and Alkyne) mcq option image
Answer :   Hydrocarbons (Alkane, Alkene and Alkyne) mcq option image
Discuss Question


Practice More MCQ Question on Chemistry Section