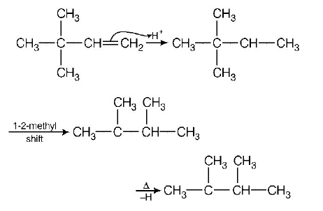
31. $$2,3-dimethyl-2-butene$$       can be prepared by heating which of the following compounds with a strong acid?

A Hydrocarbons (Alkane, Alkene and Alkyne) mcq option image
B Hydrocarbons (Alkane, Alkene and Alkyne) mcq option image
C Hydrocarbons (Alkane, Alkene and Alkyne) mcq option image
D Hydrocarbons (Alkane, Alkene and Alkyne) mcq option image
Answer :   Hydrocarbons (Alkane, Alkene and Alkyne) mcq option image
Discuss Question

32. Cyclohexene on ozonolysis followed by reaction with zine dust and water gives compound $$E.$$ Compound $$E$$ on further treatment with aqueous $$KOH$$  yields compound $$F.$$ Compound $$F$$ is

A Hydrocarbons (Alkane, Alkene and Alkyne) mcq option image
B Hydrocarbons (Alkane, Alkene and Alkyne) mcq option image
C Hydrocarbons (Alkane, Alkene and Alkyne) mcq option image
D Hydrocarbons (Alkane, Alkene and Alkyne) mcq option image
Answer :   Hydrocarbons (Alkane, Alkene and Alkyne) mcq option image
Discuss Question

33. Consider the following compounds :
Hydrocarbons (Alkane, Alkene and Alkyne) mcq question image
Which compound possesses highest dipole moment?

A I
B II
C III
D All have equal dipole moment
Answer :   II
Discuss Question

34. An alkane $${C_6}{H_{14}}$$  gives two monochloro derivatives on chlorination. Its possible structure is

A $$C{H_3}C{H_2}C{H_2}C{H_2}C{H_2}C{H_3}$$
B \[C{{H}_{3}}\underset{\begin{smallmatrix} |\,\,\,\,\, \\ C{{H}_{3}} \end{smallmatrix}}{\mathop{-CH-}}\,C{{H}_{2}}C{{H}_{2}}C{{H}_{3}}\]
C \[\underset{\begin{smallmatrix} |\,\,\,\,\,\,\,\,\,\,\,\,\,\,\,\,\,\, \\ C{{H}_{2}}C{{H}_{3}}\,\,\,\, \end{smallmatrix}}{\mathop{C{{H}_{3}}-CH-C{{H}_{2}}C{{H}_{3}}}}\,\]
D \[C{{H}_{3}}\overset{\begin{smallmatrix} \,\,C{{H}_{3}} \\ |\,\,\,\, \end{smallmatrix}}{\mathop{-CH-}}\,\overset{\begin{smallmatrix} C{{H}_{3}}\,\, \\ |\,\,\,\,\,\,\,\, \end{smallmatrix}}{\mathop{CH-}}\,C{{H}_{3}}\]
Answer :   \[C{{H}_{3}}\overset{\begin{smallmatrix} \,\,C{{H}_{3}} \\ |\,\,\,\, \end{smallmatrix}}{\mathop{-CH-}}\,\overset{\begin{smallmatrix} C{{H}_{3}}\,\, \\ |\,\,\,\,\,\,\,\, \end{smallmatrix}}{\mathop{CH-}}\,C{{H}_{3}}\]
Discuss Question

35. Which of the following species is aromatic?

A Hydrocarbons (Alkane, Alkene and Alkyne) mcq option image
B Hydrocarbons (Alkane, Alkene and Alkyne) mcq option image
C Hydrocarbons (Alkane, Alkene and Alkyne) mcq option image
D Hydrocarbons (Alkane, Alkene and Alkyne) mcq option image
Answer :   Hydrocarbons (Alkane, Alkene and Alkyne) mcq option image
Discuss Question

36. 2-Methylbutane on reacting with bromine in the presence of sunlight gives mainly

A 1 - bromo - 3 - methylbutane
B 2 - bromo - 3 - methylbutane
C 2 - bromo - 2 - methylbutane(d)
D 1 - bromo - 2 - methylbutane
Answer :   2 - bromo - 2 - methylbutane(d)
Discuss Question

37. In reaction sequence
Hydrocarbons (Alkane, Alkene and Alkyne) mcq question image
molecule $$'M'$$  and reagent $$'R'$$  respectively are

A Hydrocarbons (Alkane, Alkene and Alkyne) mcq option image
B Hydrocarbons (Alkane, Alkene and Alkyne) mcq option image
C Hydrocarbons (Alkane, Alkene and Alkyne) mcq option image
D Hydrocarbons (Alkane, Alkene and Alkyne) mcq option image
Answer :   Hydrocarbons (Alkane, Alkene and Alkyne) mcq option image
Discuss Question

38. Butene - 1 may be converted to butane by reaction with

A $$Sn - HCl$$
B $$Zn - Hg$$
C $$Pd/{H_2}$$
D $$Zn - HCl$$
Answer :   $$Pd/{H_2}$$
Discuss Question

39. Hydrocarbons (Alkane, Alkene and Alkyne) mcq question image
\[\xrightarrow[\left( \text{ii} \right)\,C{{H}_{3}}Br]{\left( \text{i} \right)\,NaN{{H}_{2}},\,N{{H}_{3}}}\left( A \right)\xrightarrow[\text{Lindlar catalyst}]{{{H}_{2}}}\left( B \right);\]       Product $$(B)$$  is :

A Hydrocarbons (Alkane, Alkene and Alkyne) mcq option image
B Hydrocarbons (Alkane, Alkene and Alkyne) mcq option image
C Hydrocarbons (Alkane, Alkene and Alkyne) mcq option image
D Hydrocarbons (Alkane, Alkene and Alkyne) mcq option image
Answer :   Hydrocarbons (Alkane, Alkene and Alkyne) mcq option image
Discuss Question

40. \[C{{H}_{3}}C{{H}_{2}}C{{H}_{2}}OH\xrightarrow[{{170}^{\circ }}C]{\text{conc}\text{.}\,{{H}_{2}}S{{O}_{4}}}\]      \[A\xrightarrow[{{500}^{\circ }}C]{C{{l}_{2}}}B.\]   $$A$$  and $$B$$  are

A $$A = C{H_3}C{H_2}C{H_3},B = C{H_3}C{H_2}C{H_2}Cl$$
B $$A = C{H_3}CH = C{H_2},$$     $$B = C{H_2}ClCH = C{H_2}$$
C $$A = C{H_2} = C{H_2},B = C{H_3}C{H_2}Cl$$
D $$A = C{H_3}C{H_2}C{H_3},B = C{H_3}CH = C{H_2}$$
Answer :   $$A = C{H_3}CH = C{H_2},$$     $$B = C{H_2}ClCH = C{H_2}$$
Discuss Question


Practice More MCQ Question on Chemistry Section