71. The carbonyl compound producing an optically active product by reaction with $$LiAl{H_4}$$  is

A propanone
B butanone
C 3-pentanone
D benzophenone
Answer :   butanone
Discuss Question

72. The enolic form of acetone contains

A 9 sigma bonds, 1 pi - bond and 2 lone pairs
B 8 sigma bonds, 2 pi - bonds and 2 lone pairs
C 10 sigma bonds, 1 pi-bond and 1 lone pair
D 9 sigma bonds, 2 pi - bonds and 1 lone pair
Answer :   9 sigma bonds, 1 pi - bond and 2 lone pairs
Discuss Question

73. $$m{\text{ - }}$$ Chlorobenzaldehyde on reaction with conc. $$KOH$$  at room temperature gives

A potassium $$m{\text{ - }}$$chlorobenzoate and $$m{\text{ - }}$$hydroxybenzaldehyde
B $$m{\text{ - }}$$hydroxybenzaldehyde and $$m{\text{ - }}$$chlorobenzyl alcohol
C $$m{\text{ - }}$$chlorobenzyl alcohol and $$m{\text{ - }}$$hydroxybenzyl alcohol
D potassium $$m{\text{ - }}$$chlorobenzoate and $$m{\text{ - }}$$chlorobenzyl alcohol.
Answer :   potassium $$m{\text{ - }}$$chlorobenzoate and $$m{\text{ - }}$$chlorobenzyl alcohol.
Discuss Question

74. 1-phenyl ethanol can be prepared by the reaction of benzaldehyde with

A methyl bromide
B ethyl iodide and magnesium
C methyl iodide and magnesium
D methyl bromide and aluminium bromide
Answer :   methyl iodide and magnesium
Discuss Question

75. Study the following sequence of reactions and identify the compounds $$(X)$$  and $$(Y).$$
Aldehyde and Ketone mcq question image
$$X$$ $$Y$$
(a) Benzaldehyde Benzoic acid
(b) 2-Chlorotoluene 2-Chlorobenzoic acid
(c) 2, 4-Dichlorobenzene Benzoic acid
(d) Benzal chloride Benzaldehyde

A (a)
B (b)
C (c)
D (d)
Answer :   (d)
Discuss Question

76. Arrange the following compounds in increasing order of their reactivity in nucleophilic addition reactions.
Ethanal, Propanal, Propanone, Butanone

A Butanone < Propanone < Propanal < Ethanal
B Propanone < Butanone < Ethanal > Propanal
C Propanal < Ethanal < Propanone < Butanone
D Ethanal < Propanal < Propanone < Butanone
Answer :   Butanone < Propanone < Propanal < Ethanal
Discuss Question

77. Addition of water to alkynes occurs in acidic medium and in the presence of $$H{g^{2 + }}$$  ions as a catalyst. Which of the following products will be formed on addition of water to but-1-yne under these conditions?

A \[C{{H}_{3}}-C{{H}_{2}}-C{{H}_{2}}\overset{\begin{smallmatrix} O \\ \parallel \end{smallmatrix}}{\mathop{-C-}}\,H\]
B \[C{{H}_{3}}-C{{H}_{2}}\overset{\begin{smallmatrix} O \\ \parallel \end{smallmatrix}}{\mathop{-C-}}\,C{{H}_{3}}\]
C \[C{{H}_{3}}-C{{H}_{2}}\overset{\begin{smallmatrix} O \\ \parallel \end{smallmatrix}}{\mathop{-C-}}\,OH+C{{O}_{2}}\]
D \[C{{H}_{3}}\overset{\begin{smallmatrix} O \\ \parallel \end{smallmatrix}}{\mathop{-C-}}\,OH+H\overset{\begin{smallmatrix} O \\ \parallel \end{smallmatrix}}{\mathop{-C-}}\,H\]
Answer :   \[C{{H}_{3}}-C{{H}_{2}}\overset{\begin{smallmatrix} O \\ \parallel \end{smallmatrix}}{\mathop{-C-}}\,C{{H}_{3}}\]
Discuss Question

78. The reagents employed to carry the following transformation
Aldehyde and Ketone mcq question image

A \[LiAl{{H}_{4}},{{H}_{2}}S{{O}_{4}}/\text{heat}\]
B \[PCC/C{{H}_{2}}C{{l}_{2}}\,\text{followed by}\,HI{{O}_{4}}\]
C \[NaB{{H}_{4}}/C{{H}_{3}}OH\,\text{followed by}\,HI{{O}_{4}}\]
D \[{{O}_{3}}\,\text{followed by}\,{{\left( C{{H}_{3}} \right)}_{2}}S\]
Answer :   \[NaB{{H}_{4}}/C{{H}_{3}}OH\,\text{followed by}\,HI{{O}_{4}}\]
Discuss Question

79. lodoform test is not given by

A 2-pentanone
B ethanol
C ethanal
D 3-pentanone
Answer :   3-pentanone
Discuss Question

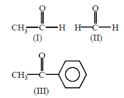
80. Correct order of reactivity of following compounds towards Grignard reagent ?
Aldehyde and Ketone mcq question image

A I > II > III
B II > I > III
C II > III > I
D I > III > II
Answer :   II > I > III
Discuss Question


Practice More MCQ Question on Chemistry Section