191. Electronegativity of carbon atoms depends upon their state of hybridisation. In which of the following compounds, the carbon marked with asterisk is most electronegative?

A $$C{H_3} - C{H_2} - \mathop C\limits^ * {H_2} - C{H_3}$$
B $$C{H_3} - \mathop C\limits^ * H = CH - C{H_3}$$
C $$C{H_3} - C{H_2} - C \equiv \mathop C\limits^ * H$$
D $$C{H_3} - C{H_2} - CH = \mathop C\limits^ * {H_2}$$
Answer :   $$C{H_3} - C{H_2} - C \equiv \mathop C\limits^ * H$$
Discuss Question

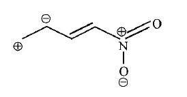
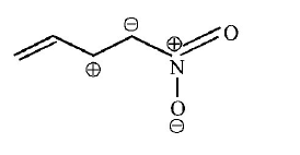
192. Ionic species are stabilised by the dispersal of charge. Which of the following carboxylate ion is the most stable?

A General Organic Chemistry mcq option image
B General Organic Chemistry mcq option image
C General Organic Chemistry mcq option image
D General Organic Chemistry mcq option image
Answer :   General Organic Chemistry mcq option image
Discuss Question

193. The correct IUPAC name of the compound General Organic Chemistry mcq question image is

A 3-heptyl-5-methylhept-3-ene
B 5, 6-diethyl-3-methyldec-4-ene
C 5-butyl-3-methyloct-4-ene
D 8-methyl-3-propylhex-3-ene
Answer :   5, 6-diethyl-3-methyldec-4-ene
Discuss Question

194. Which one of the following compounds has non zero dipole moment ?

A General Organic Chemistry mcq option image
B General Organic Chemistry mcq option image
C General Organic Chemistry mcq option image
D General Organic Chemistry mcq option image
Answer :   General Organic Chemistry mcq option image
Discuss Question

195. Which of the following is an optically active compound?

A 1 - butanol
B 1 - propanol
C 2 - chlorobutane
D 4 - hydroxybutanal
Answer :   2 - chlorobutane
Discuss Question

196. Among the following, the compound that can be most readily sulphonated is

A benzene
B nitrobenzene
C toluene
D chlorobenzene
Answer :   toluene
Discuss Question

197. Among the following, the least stable resonance structure is

A General Organic Chemistry mcq option image
B General Organic Chemistry mcq option image
C General Organic Chemistry mcq option image
D General Organic Chemistry mcq option image
Answer :   General Organic Chemistry mcq option image
Discuss Question

198. $$0.92\,g$$  of an organic compound was analysed by combustion method. The mass of the $$U$$ - tube increased by $$1.08\,g.$$  What is the percentage of hydrogen in the compound?

A $$13.04\% $$
B $$52.17\% $$
C $$65.21\% $$
D $$11.30\% $$
Answer :   $$13.04\% $$
Discuss Question

199. In pyrrole
General Organic Chemistry mcq question image
the electron density is maximum on

A 2 and 3
B 3 and 4
C 2 and 4
D 2 and 5
Answer :   2 and 5
Discuss Question

200. The bond between carbon atom (1) and carbon atom (2) in compound $$N = \mathop C\limits_1 - \mathop {CH}\limits_2 = C{H_2}$$     involves the hybrids as

A $$s{p^2}\,{\text{and}}\,s{p^2}$$
B $$s{p^{3\,}}{\text{and}}\,sp$$
C $$sp\,{\text{and}}\,s{p^2}$$
D $$sp\,{\text{and}}\,sp$$
Answer :   $$sp\,{\text{and}}\,s{p^2}$$
Discuss Question


Practice More MCQ Question on Chemistry Section