171.
The correct IUPAC name of the compound
is
A
$$3 - ethyl - 4 - ethenylhep\tan e$$
B
$$3 - ethyl - 4 - propylhex - 5 - ene$$
C
$$3 - (\,1 - ethyl{\text{ }}propyl\,){\text{ }}hex - 1 - ene$$
D
$$4 - ethyl - 3 - propylhex - 1 - ene$$
Answer :
$$4 - ethyl - 3 - propylhex - 1 - ene$$
172.
The IUPAC name of
is
A
1, 3-isopropyl-3-methyl propane
B
2, 3, 6-trimethyl heptane
C
2, 5, 6-trimethyl heptane
D
2, 6, 3-trimethyl heptane
Answer :
2, 3, 6-trimethyl heptane
174.
Stability of alkyl carbocations can be explained by
A
inductive effect only
B
hyperconjugation only
C
both inductive effect and hyperconjugation
D
electromeric effect only
Answer :
both inductive effect and hyperconjugation
View Solution
Discuss Question
No explanation is given for this question. Let's discuss the answer together.
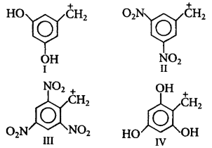
175.
Arrange the following carbocations in decreasing order of stability.
A
II > I > III > IV
B
III > IV > I > II
C
II > III > I > IV
D
IV > I > II > III
Answer :
IV > I > II > III
View Solution
Discuss Question
No explanation is given for this question. Let's discuss the answer together.
176.
The hybridization of carbon atoms in $$C-C$$ single bond of $$HC \equiv C - CH = C{H_2}\,{\text{is}}$$
A
$$s{p^3} - s{p^3}$$
B
$$s{p^2} - s{p^3}$$
C
$$sp - s{p^2}$$
D
$$s{p^3} - sp$$
Answer :
$$sp - s{p^2}$$
View Solution
Discuss Question
$$HC \equiv \mathop C\limits^{sp} - \mathop {CH}\limits^{s{p^2}} = C{H_2}$$
177.
In Carius method of estimation of halogen, $$0.15\,g$$ of an organic compound gave $$0.12\,g$$ of $$AgBr.$$ What is the percentage of bromine in the compound?
A
$$68.08\% $$
B
$$34.04\% $$
C
$$42.1\% $$
D
$$50\% $$
Answer :
$$34.04\% $$
View Solution
Discuss Question
Molar mass of $$AgBr = 108 + 80 = 188\,g\,mo{l^{ - 1}}$$
Percentage of $$B{r_2} = \frac{{80}}{{188}} \times \frac{{0.12}}{{0.15}} \times 100 = 34.04\% $$
178.
Which of the following is a false statement?
A
Free radicals, carbonium ions or carbanions are reaction intermediates
B
Reaction between methane and chlorine in presence of sunlight proceeds $$via$$ free radical
C
The electronegative atom in the carbon chain produces $$+I$$ effect
D
Homolytic fission of $$C - C$$ bonds gives free radicals
Answer :
The electronegative atom in the carbon chain produces $$+I$$ effect
View Solution
Discuss Question
The electronegative atom in the carbon chain produces $$-I$$ effect.
179.
Which of the following represents the given sequence of hybridisation of carbon atoms from left to right $$s{p^2},s{p^2},sp,sp?$$
A
$${H_2}C = CH - C \equiv CH$$
B
$$HC \equiv C - CH = C{H_2}$$
C
$${H_3}C - CH = CH - C{H_3}$$
D
$${H_2}C = CH - CH = C{H_2}$$
Answer :
$${H_2}C = CH - C \equiv CH$$
View Solution
Discuss Question
$${H_2}\mathop C\limits^{s{p^2}} = \mathop {CH}\limits^{s{p^2}} - \mathop C\limits^{sp} \equiv \mathop {CH}\limits^{sp} $$
180.
Freshly prepared solution of sodium nitroprusside is added to the sodium extract. Appearance of a deep violet colour indicates the presence of
A
nitrogen
B
sulphur
C
both nitrogen and sulphur
D
halogen
Answer :
sulphur
View Solution
Discuss Question
$$N{a_2}S + \mathop {N{a_2}\left[ {Fe{{\left( {CN} \right)}_5}\left( {NO} \right)} \right]}\limits_{{\text{Sod}}{\text{. nitroprusside}}} \to $$ \[\underset{\begin{smallmatrix}
\text{Sod}\text{. thionitroprusside} \\
\text{(Violet)}
\end{smallmatrix}}{\mathop{N{{a}_{4}}\left[ Fe{{\left( CN \right)}_{5}}\left( NOS \right) \right]}}\,\]