151. Identify the correct order of boiling points of the following compounds;
$$\mathop {C{H_3}C{H_2}C{H_2}C{H_2}OH}\limits_{\left( {\text{i}} \right)} ,$$     $$\mathop {C{H_3}C{H_2}C{H_2}CHO}\limits_{\left( {{\text{ii}}} \right)} ,$$     $$\mathop {C{H_3}C{H_2}C{H_2}COOH}\limits_{\left( {{\text{iii}}} \right)} $$

A (i) > (ii) > (iii)
B (iii) > (i) > (ii)
C (i) > (iii) > (ii)
D (iii) > (ii) > (i)
Answer :   (iii) > (i) > (ii)
Discuss Question

152. Which among the given molecules can exhibit tautomerism?
General Organic Chemistry mcq question image

A III Only
B Both I and III
C Both I and II
D Both II and III
Answer :   III Only
Discuss Question

153. $$1.6\,g$$  of an organic compound gave $$2.6\,g$$  of magnesium pyrophosphate. The percentage of phosphorus in the compound is

A $$45.38\% $$
B $$54.38\% $$
C $$37.76\% $$
D $$19.02\% $$
Answer :   $$45.38\% $$
Discuss Question

154. General Organic Chemistry mcq question image are

A resonating structures
B tautomers
C geometrical isomers
D optical isomers
Answer :   resonating structures
Discuss Question

155. Which of the following is an electrophilic reagent?

A $${H_2}O$$
B $$N{H_3}$$
C $$O{H^ - }$$
D $$NO_2^ + $$
Answer :   $$NO_2^ + $$
Discuss Question

156. What is the decreasing order of strength of the bases $$O{H^ - },NH_2^ - ,HC \equiv {C^ - }$$     and $$C{H_3}CH_2^ - ?$$

A $$C{H_3}CH_2^ - > NH_2^ - > HC \equiv {C^ - } > O{H^ - }$$
B $$HC \equiv {C^ - } > C{H_3}CH_2^ - > NH_2^ - > O{H^ - }$$
C $$O{H^ - } > NH_2^ - > HC \equiv {C^ - } > C{H_3}CH_2^ - $$
D $$NH_2^ - > HC \equiv {C^ - } > O{H^ - } > C{H_3}CH_2^ - $$
Answer :   $$C{H_3}CH_2^ - > NH_2^ - > HC \equiv {C^ - } > O{H^ - }$$
Discuss Question

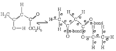
157. The enolic form of ethyl acetoacetate as below has
General Organic Chemistry mcq question image

A 18 sigma bonds and 2 $$pi$$ - bonds
B 16 sigma bonds and 1 $$pi$$ -bond
C 9 sigma bonds and 2 $$pi$$ -bonds
D 9 sigma bonds and 1 $$pi$$ -bond
Answer :   18 sigma bonds and 2 $$pi$$ - bonds
Discuss Question

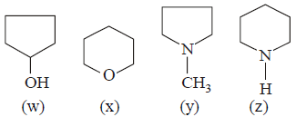
158. Arrange the following $$(w, x, y, z)$$  in decreasing order of their boiling points :
General Organic Chemistry mcq question image

A $$w > x > z > y$$
B $$w > x > y > z$$
C $$w > z > y > x$$
D $$w > z > x > y$$
Answer :   $$w > z > x > y$$
Discuss Question

159. Which of the following is a characteristic feature of a free radical?

A It has a positive charge.
B It has a negative charge.
C It has all paired electrons.
D It has an unpaired electron.
Answer :   It has an unpaired electron.
Discuss Question

160. Molecule in which the distance between the two adjacent carbon atoms is largest is

A Ethane
B Ethene
C Ethyne
D Benzene
Answer :   Ethane
Discuss Question


Practice More MCQ Question on Chemistry Section