181. On treating a mixture of two alkyl halides with sodium metal in dry ether, 2-methylpropane was obtained. The alkyl halides are

A 2-chloropropane and chloromethane
B 2-chloropropane and chloroethane
C chloromethane and chloroethane
D chloromethane and 1-chloropropane
Answer :   2-chloropropane and chloromethane
Discuss Question

182. Which of the following reactions will give the major and minor products?
\[C{{H}_{3}}-C{{H}_{2}}-\underset{\begin{smallmatrix} |\,\,\,\,\,\,\,\,\,\, \\ Br\,\,\,\,\,\,\,\, \end{smallmatrix}}{\mathop{CH-}}\,C{{H}_{3}}\xrightarrow[\text{heat}]{alc.\,KOH}\]
$$C{H_3} - \mathop {CH = CH}\limits_{\left( A \right)} - C{H_3} + C{H_3}$$       $$ - \mathop {C{H_2} - CH}\limits_{\left( B \right)} = C{H_2}$$

A $$(A)$$  is major product and $$(B)$$  is minor product.
B $$(A)$$  is minor product and $$(B)$$  is major product.
C Both $$(A)$$  and $$(B)$$  are major products.
D Only $$(B)$$  is formed and $$(A)$$  is not formed.
Answer :   $$(A)$$  is major product and $$(B)$$  is minor product.
Discuss Question

183. In a nucleophilic substitution reaction : \[R-Br+C{{l}^{-}}\xrightarrow{DMF}R-Cl+B{{r}^{-}},\]       Which one of the following undergoes complete inversion of configuration ?

A $${C_6}{H_5}CH{C_6}{H_5}Br$$
B $${C_6}{H_5}C{H_2}Br$$
C $${C_6}{H_5}CHC{H_3}Br$$
D $${C_6}{H_5}CC{H_3}{C_6}{H_5}Br$$
Answer :   $${C_6}{H_5}CHC{H_3}Br$$
Discuss Question

184. Which of the following will give enantiomeric pair on reaction with water due to presence of asymmetric carbon atom?

A \[{{C}_{2}}{{H}_{5}}\underset{\begin{smallmatrix} |\,\,\,\,\,\,\,\, \\ {{C}_{2}}{{H}_{5}}\,\,\, \end{smallmatrix}}{\overset{\begin{smallmatrix} {{C}_{2}}{{H}_{5}}\, \\ |\,\,\,\,\,\,\,\, \end{smallmatrix}}{\mathop{-\,\,C-Br}}}\,\]
B \[{{C}_{2}}{{H}_{5}}\underset{\begin{smallmatrix} |\,\,\,\,\,\,\,\, \\ C{{H}_{3}}\,\,\, \end{smallmatrix}}{\overset{\begin{smallmatrix} {{C}_{2}}{{H}_{5}} \\ |\,\,\,\,\,\,\, \end{smallmatrix}}{\mathop{-\,\,C-Cl}}}\,\]
C \[{{C}_{2}}{{H}_{5}}\underset{\begin{smallmatrix} | \\ \,\,\,\,C{{H}_{3}} \end{smallmatrix}}{\overset{\begin{smallmatrix} H \\ | \end{smallmatrix}}{\mathop{-C-}}}\,I\]
D \[C{{H}_{3}}\underset{\begin{smallmatrix} |\,\,\,\,\,\,\,\, \\ {{C}_{2}}{{H}_{5}}\,\,\, \end{smallmatrix}}{\overset{\begin{smallmatrix} C{{H}_{3}} \\ |\,\,\,\,\,\,\, \end{smallmatrix}}{\mathop{-\,\,C-Br}}}\,\]
Answer :   \[{{C}_{2}}{{H}_{5}}\underset{\begin{smallmatrix} | \\ \,\,\,\,C{{H}_{3}} \end{smallmatrix}}{\overset{\begin{smallmatrix} H \\ | \end{smallmatrix}}{\mathop{-C-}}}\,I\]
Discuss Question

185. Tertiary butyl bromide on reaction with sodium methoxide mainly gives

A $$tert$$  - butyl ethyl ether
B 2 - methylpropene
C propene
D $$iso$$  - propyl alcohol
Answer :   2 - methylpropene
Discuss Question

186. Chlorobenzne reacts with trichloro acetaldehyde in the presence of $${H_2}S{O_4}.$$
Electrophilic Aromatic Substitution (Haloalkanes and Haloarenes) mcq question image
The major product formed is :

A Electrophilic Aromatic Substitution (Haloalkanes and Haloarenes) mcq option image
B Electrophilic Aromatic Substitution (Haloalkanes and Haloarenes) mcq option image
C Electrophilic Aromatic Substitution (Haloalkanes and Haloarenes) mcq option image
D Electrophilic Aromatic Substitution (Haloalkanes and Haloarenes) mcq option image
Answer :   Electrophilic Aromatic Substitution (Haloalkanes and Haloarenes) mcq option image
Discuss Question

187. The major product formed when 1, 1, 1-trichloro-propane is treated with aqueous potassium hydroxide is :

A Propyne
B 1-Propanol
C 2-Propanol
D Propionic acid
Answer :   Propionic acid
Discuss Question

188. Pure $$\left( S \right) - C{H_3}C{H_2}CHBrC{H_3}$$      is subjected to monobromination to form several isomers of $${C_4}{H_8}B{r_2}.$$   Which of the following is not produced?

A Electrophilic Aromatic Substitution (Haloalkanes and Haloarenes) mcq option image
B Electrophilic Aromatic Substitution (Haloalkanes and Haloarenes) mcq option image
C Electrophilic Aromatic Substitution (Haloalkanes and Haloarenes) mcq option image
D Electrophilic Aromatic Substitution (Haloalkanes and Haloarenes) mcq option image
Answer :   Electrophilic Aromatic Substitution (Haloalkanes and Haloarenes) mcq option image
Discuss Question

189. The end product $$(Q)$$  in the following sequence of reactions is
Electrophilic Aromatic Substitution (Haloalkanes and Haloarenes) mcq question image

A Electrophilic Aromatic Substitution (Haloalkanes and Haloarenes) mcq option image
B Electrophilic Aromatic Substitution (Haloalkanes and Haloarenes) mcq option image
C Electrophilic Aromatic Substitution (Haloalkanes and Haloarenes) mcq option image
D Electrophilic Aromatic Substitution (Haloalkanes and Haloarenes) mcq option image
Answer :   Electrophilic Aromatic Substitution (Haloalkanes and Haloarenes) mcq option image
Discuss Question

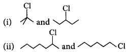
190. In the following pairs of halogen compounds, which compound undergoes faster $${S_N}1$$  reaction?
Electrophilic Aromatic Substitution (Haloalkanes and Haloarenes) mcq question image

A Electrophilic Aromatic Substitution (Haloalkanes and Haloarenes) mcq option image
B Electrophilic Aromatic Substitution (Haloalkanes and Haloarenes) mcq option image
C Electrophilic Aromatic Substitution (Haloalkanes and Haloarenes) mcq option image
D Electrophilic Aromatic Substitution (Haloalkanes and Haloarenes) mcq option image
Answer :   Electrophilic Aromatic Substitution (Haloalkanes and Haloarenes) mcq option image
Discuss Question


Practice More MCQ Question on Chemistry Section