171. The fire extinguisher 'pyrene' contains

A carbon dioxide
B carbon disulphide
C carbon tetrachloride
D chloroform
Answer :   carbon tetrachloride
Discuss Question

172. Which is the correct increasing order of boiling points of the following compounds?
1-Bromoethane, 1-Bromopropane, 1-Bromobutane, Bromobenzene

A Bromobenzene < 1-Brornobutane < 1-Bromopropane < 1-Bromoethane
B Bromobenzene < 1-Bromoethane < 1-Bromopropane < 1-Bromobutane
C 1-Bromopropane < 1-Bromobutane < 1-Bromoethane < Bromobenzene
D 1-Brornoethane < 1-Brornopropane < 1-Bromobutane < Bromobenzene
Answer :   1-Brornoethane < 1-Brornopropane < 1-Bromobutane < Bromobenzene
Discuss Question

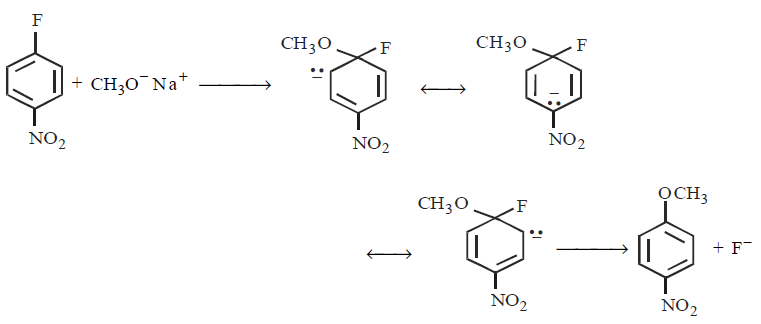
173. Which of the following is (are) true concerning the intermediate in the addition-elimination mechanism of the following reaction ?
Electrophilic Aromatic Substitution (Haloalkanes and Haloarenes) mcq question image
$$A =$$  The intermediate is aromatic, $$B =$$  The intermediate is a resonance stabilised anion, $$C =$$  Electron withdrawing groups on the benzene ring stabilises the intermediate

A only $$A$$
B only $$B$$
C $$A$$  and $$C$$
D $$B$$  and $$C$$
Answer :   $$B$$  and $$C$$
Discuss Question

174. Match the column I with column II and mark the appropriate choice.
Column I Column II
a. Carbon tetrachloride 1. Paint remover
b. Methylene chloride 2. Refrigerators and air conditioners
c. DDT 3. Fire-extinguisher
d. Freons 4. Non-biodegradable insecticide

A a - 2, b - 3, c - 1, d - 4
B a - 4, b - 3, c - 2, d - 1
C a - 1, b - 2, c - 3, d - 4
D a - 3, b - 1, c - 4, d - 2
Answer :   a - 3, b - 1, c - 4, d - 2
Discuss Question

175. The compound \[{{C}_{7}}{{H}_{8}}\xrightarrow{3C{{l}_{2}}/\Delta }A\xrightarrow{B{{r}_{2}}/Fe}B\xrightarrow{Zn/HCl}C\]
The compound $$C$$  is

A $$o$$ - Bromotoluene
B $$m$$ - Bromotoluene
C $$p$$ - Bromotoluene
D 3 - Bromo -2, 4, 6 - trichlorotoluene
Answer :   $$m$$ - Bromotoluene
Discuss Question

176. The reaction is described as
Electrophilic Aromatic Substitution (Haloalkanes and Haloarenes) mcq question image

A $${S_E}2$$
B $${S_N}1$$
C $${S_N}2$$
D $${S_N}0$$
Answer :   $${S_N}2$$
Discuss Question

177. Elimination of bromine from 2-bromobutane results in the formation of

A equimolar mixture of 1and 2-butene
B predominantly 2-butene
C predominantly 1-butene
D predominantly 2-butyne
Answer :   predominantly 2-butene
Discuss Question

178. Which of the following structures is enantiomeric with the molecule $$\left( I \right)$$  given below?
Electrophilic Aromatic Substitution (Haloalkanes and Haloarenes) mcq question image

A Electrophilic Aromatic Substitution (Haloalkanes and Haloarenes) mcq option image
B Electrophilic Aromatic Substitution (Haloalkanes and Haloarenes) mcq option image
C Electrophilic Aromatic Substitution (Haloalkanes and Haloarenes) mcq option image
D Electrophilic Aromatic Substitution (Haloalkanes and Haloarenes) mcq option image
Answer :   Electrophilic Aromatic Substitution (Haloalkanes and Haloarenes) mcq option image
Discuss Question

179. \[PhCOCHB{{r}_{2}}\xrightarrow{O{{H}^{-}}}A\xrightarrow{O{{H}^{-}}}B\xrightarrow{{{H}^{+}}}C\]
The compound $$C$$  is –

A Electrophilic Aromatic Substitution (Haloalkanes and Haloarenes) mcq option image
B Electrophilic Aromatic Substitution (Haloalkanes and Haloarenes) mcq option image
C Electrophilic Aromatic Substitution (Haloalkanes and Haloarenes) mcq option image
D Electrophilic Aromatic Substitution (Haloalkanes and Haloarenes) mcq option image
Answer :   Electrophilic Aromatic Substitution (Haloalkanes and Haloarenes) mcq option image
Discuss Question

180. An alkyl halide, $$RX$$  reacts with $$KCN$$  to give propane nitrile. $$RX$$  is

A $${C_3}{H_7}Br$$
B $${C_4}{H_9}Br$$
C $${C_2}{H_5}Br$$
D $${C_5}{H_{11}}Br$$
Answer :   $${C_2}{H_5}Br$$
Discuss Question


Practice More MCQ Question on Chemistry Section