191.
What products are expected from the disproportionation reaction of hypochlorous acid?
A
$$HCl\,{\text{and}}\,C{l_2}O$$
B
$$HCl\,{\text{and}}\,HCl{O_3}$$
C
$$HCl{O_3}\,{\text{and}}\,C{l_2}O$$
D
$$HCl{O_2}\,{\text{and}}\,HCl{O_4}$$
Answer :
$$HCl\,{\text{and}}\,HCl{O_3}$$
View Solution
Discuss Question
During disproportionation same compound undergo simultaneous oxidation and reduction.
192.
Strong reducing behaviour of $${H_3}P{O_2}$$ is due to
A
low oxidation state of phosphorus
B
presence of two $$- OH$$ groups and one $$P- H$$ bond
C
presence of one $$- OH$$ group and two $$P- H$$ bonds
D
high electron gain enthalpy of phosphorus.
Answer :
presence of one $$- OH$$ group and two $$P- H$$ bonds
View Solution
Discuss Question
$${H_3}P{O_2}$$ behaves as a stronger reducing agent as it contains two $$P- H$$ bonds.
193.
Which of the following pairs of compounds is isoelectronic and isostructural?
A
$$BeC{l_2},Xe{F_2}$$
B
$$Te{l_2},Xe{F_2}$$
C
$$IBr_2^ - ,Xe{F_2}$$
D
$$l{F_3},Xe{F_2}$$
Answer :
$$IBr_2^ - ,Xe{F_2}$$
View Solution
Discuss Question
Key concept Isoelectronic species have equal number of valence electrons .
Both $$IBr_2^ - $$ and $$Xe{F_2}$$ are linear and number of valence electrons present in both the species is
same, i.e. they are also isoelectronic.
S. No.
Compounds
Number of valence electrons
Geometry
1.
$$BeC{l_2}$$
2 + 14 = 16
Linear
2.
$$Xe{F_2}$$
8 + 14 = 22
Linear
3.
$$Te{l_2}$$
6 + 14 = 20
Bent or V-shape
4.
$$IBr_2^ - $$
7 + 14 + 1 = 22
Linear
5.
$$I{F_3}$$
7 + 21 = 28
T-shape
194.
The geometry of $$XeO{F_4}$$ by $$VSEPR$$ theory is :
A
pentagonal planar
B
octahedral
C
square pyramidal
D
trigonal bipyramidal
Answer :
square pyramidal
195.
Which of the following conceivable structures for $$CC{l_4}$$ will have a zero dipole moment ?
A
Square planar
B
Square pyramid (carbon at apex)
C
Irregular tetrahedron
D
None of these
Answer :
None of these
196.
The shapes and hybridisation of $$B{F_3}$$ and $$BH_4^ - $$ respectively are
A
$$B{F_3}$$ - Trigonal, $$s{p^2}$$ hybridisation ; $$BH_4^ - $$ - Square planar, $$s{p^3}$$ hybridisation
B
$$B{F_3}$$ - Triangular, $$s{p^3}$$ hybridisation ; $$BH_4^ - $$ - Hexagonal, $$s{p^3}d$$ hybridisation
C
$$B{F_3}$$ - Trigonal, $$s{p^2}$$ hybridisation ; $$BH_4^ - $$ - Tetrahedral, $$s{p^3}$$ hybridisation
D
$$B{F_3}$$ - Tetrahedral, $$s{p^3}$$ hybridisation ; $$BH_4^ - $$ - Tetrahedral, $$s{p^3}$$ hybridisation
Answer :
$$B{F_3}$$ - Trigonal, $$s{p^2}$$ hybridisation ; $$BH_4^ - $$ - Tetrahedral, $$s{p^3}$$ hybridisation
197.
Amongst the trihalides of nitrogen which one is least basic?
A
$$N{F_3}$$
B
$$NC{l_{3\,}}$$
C
$$NB{r_3}$$
D
$$N{l_3}$$
Answer :
$$N{F_3}$$
View Solution
Discuss Question
Least basic trihalogen of nitrogen is $$N{F_3}$$ because of the highest electronegativity of fluorine.
198.
$$Al{I_3},$$ when reacts with $$CC{l_4},$$ gives
A
$$AlC{l_3}$$
B
$$C{I_4}$$
C
$$A{l_4}{C_3}$$
D
$${\text{both (A) and (B)}}$$
Answer :
$${\text{both (A) and (B)}}$$
View Solution
Discuss Question
$$Al{I_3},$$ on reaction with $$CC{l_4},$$ gives the $$AlC{l_3}$$
$$4Al{I_3} + 3CC{l_4} \to 4AlC{l_3} + 3C{I_4}$$
199.
Which of the following species has four lone pairs of electrons?
A
$$I$$
B
$${O^ - }$$
C
$$C{l^ - }$$
D
$$He$$
Answer :
$$C{l^ - }$$
View Solution
Discuss Question
$$C{l^ - }$$ has eight electrons in it valence shell, so its Lewis dot structure is
thus, it has four lone pairs of electrons.
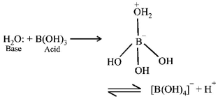
200.
$${H_3}B{O_3}$$ is:
A
Monobasic and weak Lewis acid
B
Monobasic and weak Bronsted acid
C
Monobasic and strong Lewis acid
D
Tribasic and weak Bronsted acid
Answer :
Monobasic and weak Lewis acid
View Solution
Discuss Question
The central boron atom in boric acid, $${H_3}B{O_3}$$ is electrondeficient.
NOTE : Boric acid is a Lewis acid with one $$p$$ - orbital vacant. There is no $$d$$ - orbital of suitable energy in boron atom. So, it can accommodate only one additional electron pair in its outermost shell.