321. Consider the following complex ions, $$P,Q$$  and $$R.$$
$$P = {\left[ {Fe{F_6}} \right]^{3 - }},Q = {\left[ {V{{\left( {{H_2}O} \right)}_6}} \right]^{2 + }}{\text{and}}\,R = {\left[ {Fe{{\left( {{H_2}O} \right)}_6}} \right]^{2 + }}$$
The correct order of the complex ions, according to their spin-only magnetic moment values $$\left( {{\text{in}}\,{\text{B}}{\text{.M}}.} \right)$$  is

A $$R < Q < P$$
B $$Q < R < P$$
C $$R < P < Q$$
D $$Q < P < R$$
Answer :   $$Q < R < P$$
Discuss Question

322. Which of the following has a square planar geometry?
$$\left( {{\text{At}}{\text{.}}\,{\text{nos}}.:Fe = 26,Co = 27,Ni = 28,Pt = 78} \right)$$

A $${\left[ {PtC{l_4}} \right]^{2 - }}$$
B $${\left[ {CoC{l_4}} \right]^{2 - }}$$
C $${\left[ {FeC{l_4}} \right]^{2 - }}$$
D $${\left[ {NiC{l_4}} \right]^{2 - }}$$
Answer :   $${\left[ {PtC{l_4}} \right]^{2 - }}$$
Discuss Question

323. Both geometrical and optical isomerism are shown by

A $${\left[ {Co{{\left( {en} \right)}_2}C{l_2}} \right]^ + }$$
B $${\left[ {Co{{\left( {N{H_3}} \right)}_5}Cl} \right]^{2 + }}$$
C $${\left[ {Co{{\left( {N{H_3}} \right)}_4}C{l_2}} \right]^ + }$$
D $${\left[ {Cr{{\left( {ox} \right)}_3}} \right]^{3 - }}$$
Answer :   $${\left[ {Co{{\left( {en} \right)}_2}C{l_2}} \right]^ + }$$
Discuss Question

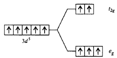
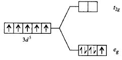
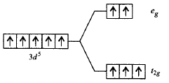
324. Which of the following energy level diagram for $${\left[ {Fe{F_6}} \right]^{3 - }}$$  is correct on the basis of crystal field theory?

A Co-ordination Compounds mcq option image
B Co-ordination Compounds mcq option image
C Co-ordination Compounds mcq option image
D Co-ordination Compounds mcq option image
Answer :   Co-ordination Compounds mcq option image
Discuss Question

325. The correct IUPAC name of $$\left[ {Pt{{\left( {N{H_3}} \right)}_2}C{l_2}} \right]$$    is

A diamminedichloridoplatinum(II)
B diamminedichloridoplatinum(IV)
C diamminedichloridoplatinum(0)
D dichloridodiammineplatinum(IV)
Answer :   diamminedichloridoplatinum(II)
Discuss Question

326. As per IUPAC nomenclature, the name of the complex $$\left[ {Co{{\left( {{H_2}O} \right)}_4}{{\left( {N{H_3}} \right)}_2}} \right]C{l_3}\,{\text{is}}:$$

A Tetraaquadiaminecobalt (III) chloride
B Tetraaquadiamminecobalt (III) chloride
C Diaminetetraaquacoblat (III) chloride
D Diamminetetraaquacobalt (III) chloride
Answer :   Diamminetetraaquacobalt (III) chloride
Discuss Question

327. The unpaired electrons in $$Ni{\left( {CO} \right)_4}$$   are

A zero
B one
C three
D four
Answer :   zero
Discuss Question

328. A solution containing $$2.675g$$  of a cobalt (III) chloride ammonia complex ( molar mass $$ = 267.5\,g\,mo{l^{ - 1}}$$   ) is passed through a cation exchanger. The chloride ions obtained in solution were treated with excess of $$AgN{O_3}$$  to give $$4.78\,g$$  of $$AgCl$$  ( molar mass = $$143.5\,g\,mo{l^{ - 1}}$$   ). The formula of the complex is (At. mass of $$Ag = 108\,u$$   )

A $$\left[ {CoCl{{\left( {N{H_3}} \right)}_5}} \right]C{l_2}$$
B $$\left[ {Co{{\left( {N{H_3}} \right)}_6}} \right]C{l_3}$$
C $$\left[ {CoC{l_2}{{\left( {N{H_3}} \right)}_4}} \right]Cl$$
D $$\left[ {CoC{l_3}{{\left( {N{H_3}} \right)}_3}} \right]$$
Answer :   $$\left[ {Co{{\left( {N{H_3}} \right)}_6}} \right]C{l_3}$$
Discuss Question

329. One mole of the complex compound $$Co{\left( {N{H_3}} \right)_5}C{l_3},$$    gives $$3$$ moles ofions on dissolution in water. One mole of the same complex reacts with two moles of $$AgN{O_3}$$  solution to yield two moles of $$AgCl\left( s \right).$$  The structure of the complex is

A $$\left[ {Co{{\left( {N{H_3}} \right)}_3}C{l_3}} \right].2\,N{H_3}$$
B $$\left[ {Co{{\left( {N{H_3}} \right)}_4}C{l_2}} \right]Cl.\,N{H_3}$$
C $$\left[ {Co{{\left( {N{H_3}} \right)}_4}Cl} \right]C{l_2}.\,N{H_3}$$
D $$\left[ {Co{{\left( {N{H_3}} \right)}_5}Cl} \right]C{l_2}$$
Answer :   $$\left[ {Co{{\left( {N{H_3}} \right)}_5}Cl} \right]C{l_2}$$
Discuss Question

330. A chelating agent has two or more than two donor atoms to bind to a single metal ion. Which of the following is not a chelating agent?

A Thiosulphato
B Oxalato
C Glycinato
D Ethane - 1, 2 - diamine
Answer :   Thiosulphato
Discuss Question


Practice More MCQ Question on Chemistry Section