211.
The complex $$\left[ {Co{{\left( {N{H_3}} \right)}_6}} \right]\left[ {Cr{{\left( {CN} \right)}_6}} \right]$$ and $$\left[ {Cr{{\left( {N{H_3}} \right)}_6}} \right]\left[ {Co{{\left( {CN} \right)}_6}} \right]$$ are the examples of which type of isomerism ?
The complexes $$\left[ {Co{{\left( {N{H_3}} \right)}_6}} \right]\left[ {Cr{{\left( {CN} \right)}_6}} \right]$$ and $$\left[ {Cr{{\left( {N{H_3}} \right)}_6}} \right]\left[ {Co{{\left( {CN} \right)}_6}} \right]$$ are the examples of coordination isomerisms. This isomerism occurs only in those complexes in which both cation and anion are complex. It occurs due to exchange of ligands between cation and anion.
$$N{O^ + }$$ is not a $$\pi $$ - acceptor ligand, because in it nitrogen atom has no vacant orbital to accomodate electron pair from the central metal atom.
213.
The value of the ‘spin only’ magnetic moment for one of the following configurations is 2.84 $$BM.$$ The correct one is
$${d^5}\, - $$ strong ligand field
$$\mu = n\sqrt {n + 2} = \sqrt 3 = 1.73{\text{BM}}$$
$${d^3} - $$ in weak as well as in strong field
$$\mu = \sqrt {3\left( 5 \right)} = \sqrt {15} = 3.87{\text{B}}{\text{.M}}{\text{.}}$$
$${d^4} - $$ in weak ligand field
$$\mu = \sqrt {4\left( 8 \right)} = \sqrt {24} = 4.89$$
$${d^4} - $$ in strong ligand field
$$\mu = \sqrt {2\left( 4 \right)} = \sqrt 8 = 2.82.$$
214.
Both $$\left[ {Ni{{\left( {CO} \right)}_4}} \right]\,\,{\text{and}}\,\,{\left[ {Ni{{\left( {CN} \right)}_4}} \right]^{2 - }}$$ are diamagnetic. The hybridisation of nickel in these complexes,respectively,
NOTE: : In carbonyls $$O.S.$$ of metal is zero
In $$\left[ {Ni{{\left( {CO} \right)}_4}} \right]$$ , the oxidation state of nickel is zero. Its configuration in $${Ni{{\left( {CO} \right)}_4}}$$ is
In $${\left[ {Ni{{\left( {CN} \right)}_4}} \right]^{2 - }}$$ the oxidation state of $${Ni}$$ is $$2 + $$ and its configuration is
Thus the hybridisation of nickel in these compounds are $$s{p^3}$$ and $$ds{p^2}$$ respectively.
Hence (B) is the correct answer.
215.
The magnitude of $$CFSE$$ ( crystal field splitting energy, $${\Delta _o}$$ ) can be related to the configuration of $$d$$ - orbitals in a coordination entity as
A
If $${\Delta _o} < P,$$ the configuration is $$t_{2g}^3\,e_g^1 = $$ weak field ligand and high spin complex
B
if $${\Delta _o} > P,$$ the configuration is $$t_{2g}^3\,e_g^1 = $$ strong field ligand and low spin complex
C
if $${\Delta _o} > P,$$ the configuration is $$t_{2g}^4\,e_g^0 = $$ strong field ligand and high spin complex
D
if $${\Delta _o} = P,$$ the configuration is $$t_{2g}^4\,e_g^0 = $$ strong field ligand and high spin complex.
Answer :
If $${\Delta _o} < P,$$ the configuration is $$t_{2g}^3\,e_g^1 = $$ weak field ligand and high spin complex
If $$CFSE\left( {{\Delta _o}} \right) < P$$ ( Energy required for pairing ), the electrons do not pair up and fourth electron goes to $${e_g}$$ of higher energy. Hence, high spin complex is formed. Pairing of electrons does not take place in case of weak field ligands
216.
The magnitude of magnetic moment (spin only) of $${\left[ {NiC{l_4}} \right]^{2 - }}$$ will be
The compounds $$\left[ {Co\left( {S{O_4}} \right){{\left( {N{H_3}} \right)}_5}} \right]Br$$ and $$\left[ {Co\left( {S{O_4}} \right){{\left( {N{H_3}} \right)}_5}} \right]Cl$$ do not have same chemical formula.
218.
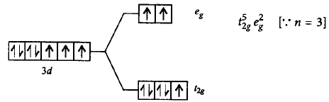
Which of the following statements is correct about $${\left[ {Co{{\left( {{H_2}O} \right)}_6}} \right]^{2 + }}$$ complex?
A
Electronic configuration $$ = 3{d^7} \to t_{2g}^5\,e_g^2,$$ no. of unpaired electrons $$ = 3,\mu = 3.87\,B.M.$$
B
Electronic configuration $$ = 3{d^6} \to t_{2g}^4\,e_g^2,$$ no. of unpaired electrons $$ = 2,\mu = 2.87\,B.M.$$
C
Electronic configuration $$ = 3{d^7} \to t_{2g}^6\,e_g^1,$$ no. of unpaired electrons $$ = 1,\mu = 2.87\,B.M.$$
D
Electronic configuration $$ = 3{d^7} \to t_{2g}^3\,e_g^4,$$ no. of unpaired electrons $$ = 3,\mu = 3.87\,B.M.$$
219.
The degeneracy of $$d$$ - orbitals is lost under :
(i) Strong field ligand
(ii) Weak field ligand
(iii) Mixed field ligand
(iv) Chelated ligand field