251. Intermolecular forces between $$n$$ - hexane and $$n$$ - heptane are nearly same as between hexane and heptane individually. When these two are mixed, which of the following is not true about the solution formed ?

A It obeys Raoult's law, i.e. $${p_A} = {x_A}p_{\text{A}}^{\text{o}}$$   and $${p_B} = {x_B}p_B^{\text{o}}$$
B $$\Delta {H_{{\text{mixing}}}}$$   is zero
C $$\Delta {V_{{\text{mixing}}}}$$   is zero
D It forms minimum boiling azeotrope.
Answer :   It forms minimum boiling azeotrope.
Discuss Question

252. $$25.3\,g$$  of sodium carbonate, $$N{a_2}C{O_3}$$  is dissolved in enough water to make $$250\, mL$$   of solution. If sodium carbonate dissociates completely, molar concentration of sodium ion, $$N{a^ + }$$ and carbonate ion, $$CO_3^{2 - }$$  are respectively ( Molar mass of $$N{a_2}C{O_3} = 106\,g\,mo{l^{ - 1}}$$     )

A $$0.955\,M\,{\text{and}}\,1.910\,M$$
B $$1.910\,M\,{\text{and}}\,0.955\,M$$
C $$1.90\,M\,{\text{and}}\,1.910\,M$$
D $$0.477\,M\,{\text{and}}\,0.477\,M$$
Answer :   $$1.910\,M\,{\text{and}}\,0.955\,M$$
Discuss Question

253. The Henry's law constant for the solubility of $${N_2}$$  gas in water at $$298\,K$$  is $$1.0 \times {10^5}\,atm.$$   The mole fraction of $${N_2}$$  in air is $$0.8.$$  The number of moles of $${N_2}$$  from air dissolved in $$10\,moles$$   of water at $$298\,K$$  and $$5\,atm$$  pressure is

A $$4.0 \times {10^{ - 4}}$$
B $$4.0 \times {10^{ - 5}}$$
C $$5.0 \times {10^{ - 4}}$$
D $$4.0 \times {10^{ - 6}}$$
Answer :   $$4.0 \times {10^{ - 4}}$$
Discuss Question

254. A solution has 1 : 4 $$mole$$  ratio of pentane to hexane. The vapour pressure of the pure hydrocarbons at $${20^ \circ }C$$  are $$440\,mm$$  of $$Hg$$  for pentane and $$120$$ $$mm$$  of $$Hg$$  for hexane. The mole fraction of pentane in the vapour phase would be

A 0.549
B 0.200
C 0.786
D 0.478
Answer :   0.478
Discuss Question

255. What are the conditions for an ideal solution which obeys Raoult's law over the entire range of concentration ?

A $${\Delta _{{\text{mix}}}}H = 0,{\Delta _{{\text{mix}}}}V = 0,$$      $${P_{{\text{Total}}}} = p_{\text{A}}^{\text{o}}{x_A} + p_B^{\text{o}}{x_B}$$
B $${\Delta _{{\text{mix}}}}H = + ve,{\Delta _{{\text{mix}}}}V = 0,$$      $${P_{{\text{Total}}}} = p_{\text{A}}^{\text{o}}{x_A} + p_B^{\text{o}}{x_B}$$
C $${\Delta _{{\text{mix}}}}H = 0,{\Delta _{{\text{mix}}}}V = + ve,$$      $${P_{{\text{Total}}}} = p_{\text{A}}^{\text{o}}{x_A} + p_B^{\text{o}}{x_B}$$
D $${\Delta _{{\text{mix}}}}H = 0,{\Delta _{{\text{mix}}}}V = 0,{P_{{\text{Total}}}} = p_B^{\text{o}}{x_B}$$
Answer :   $${\Delta _{{\text{mix}}}}H = 0,{\Delta _{{\text{mix}}}}V = 0,$$      $${P_{{\text{Total}}}} = p_{\text{A}}^{\text{o}}{x_A} + p_B^{\text{o}}{x_B}$$
Discuss Question

256. Sea water is $$3.5\% $$  by mass of common salt and has a density $$1.04\,g\,c{m^{ - 3}}$$   at $$293\,K.$$  Assuming the salt to be sodium chloride, then osmotic pressure of sea water will be ( assume complete ionisation of the salt )

A $$25.45\,atm$$
B $$11.56\,atm$$
C $$29.98\,atm$$
D $$30.20\,atm$$
Answer :   $$29.98\,atm$$
Discuss Question

257. If $$0.1\,M$$  solution of glucose and $$0.1\,M$$  solution of urea are placed on two sides of the semipermeable membrane to equal heights, then it will be correct to say that

A there will be no net movement across the membrane
B glucose will flow towards urea solution
C urea will flow towards glucose solution
D water will flow from urea solution to glucose
Answer :   there will be no net movement across the membrane
Discuss Question

258. For which of the following solutes the van't Hoff factor is not greater than one ?

A $$NaN{O_3}$$
B $$BaC{l_2}$$
C $${K_4}\left[ {Fe{{\left( {CN} \right)}_6}} \right]$$
D $$N{H_2}CON{H_2}$$
Answer :   $$N{H_2}CON{H_2}$$
Discuss Question

259. The vapour pressure of two pure liquids $$A$$ and $$B$$ that form an ideal solution, are $$400$$  and $$800$$  $$mm$$  of $$Hg$$  respectively at a temperature $${t^ \circ }C.$$  The $$mole$$  fraction of $$A$$ in a solution of $$A$$ and $$B$$  whose boiling point is $${t^ \circ }C$$  will be

A 0.4
B 0.8
C 0.1
D 0.2
Answer :   0.1
Discuss Question

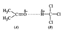
260. When acetone and chloroform are mixed together, which of the following observations is correct ?
Solutions mcq question image

A $$A - A$$  and $$B - B$$  interactions are stronger than $$A - B$$  interactions.
B $$A - A$$  and $$B - B$$  interactions are weaker than $$A - B$$  interactions.
C $$A - A, B - B$$    and $$A - B$$  interactions are equal.
D The liquids form separate layers and are immiscible.
Answer :   $$A - A$$  and $$B - B$$  interactions are weaker than $$A - B$$  interactions.
Discuss Question


Practice More MCQ Question on Chemistry Section