181. Which one of the following sets of monosaccharides forms sucrose?

A $$\alpha {\text{ - }}D{\text{ - }}$$ galactopyranose and $$\alpha {\text{ - }}D{\text{ - }}$$ glucopyranose
B $$\alpha {\text{ - }}D{\text{ - }}$$ glucopyranose and $$\beta {\text{ - }}D{\text{ - }}$$ fructofuranose
C $$\beta {\text{ - }}D{\text{ - }}$$ glucopyranose and $$\alpha {\text{ - }}D{\text{ - }}$$ fructofuranose
D $$\alpha {\text{ - }}D{\text{ - }}$$ glucopyranose and $$\beta {\text{ - }}D{\text{ - }}$$ fructopyranose
Answer :   $$\alpha {\text{ - }}D{\text{ - }}$$ glucopyranose and $$\beta {\text{ - }}D{\text{ - }}$$ fructofuranose
Discuss Question

182. $$RNA$$  is different from $$DNA$$  because $$RNA$$  contains

A ribose sugar and thymine
B ribose sugar and uracil
C deoxyribose sugar and thymine
D deoxyribose sugar and uracil
Answer :   ribose sugar and uracil
Discuss Question

183. Nucleotides in $$DNA$$  are linked by –

A hydrogen bond
B $$3',5'{\text{ - }}$$  phosphodiester bond
C glycosidic bond
D peptide bond
Answer :   $$3',5'{\text{ - }}$$  phosphodiester bond
Discuss Question

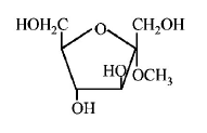
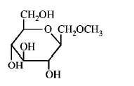
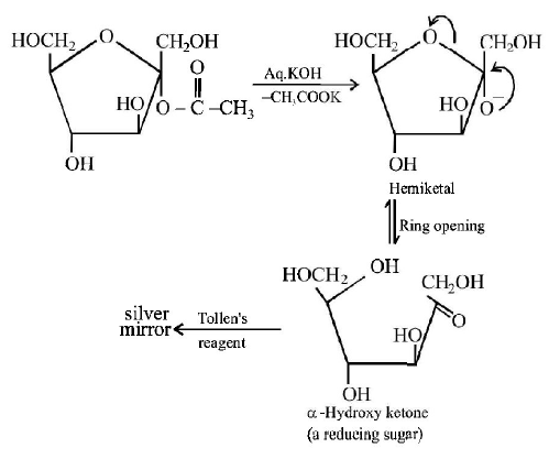
184. Which of the following compounds will behave as a reducing sugar in an aqueous $$KOH$$  solution?

A Biomolecules mcq option image
B Biomolecules mcq option image
C Biomolecules mcq option image
D Biomolecules mcq option image
Answer :   Biomolecules mcq option image
Discuss Question

185. Which of the following statements is not true?

A Glucose and fructose both are monosaccharides.
B The natural glucose and fructose are $$D$$ - forms.
C The solution having equal molecules of $$D$$ - glucose and $$D$$ - fructose is termed as invert sugar.
D Aldohexoses exist in $${2^6}$$ optical forms.
Answer :   Aldohexoses exist in $${2^6}$$ optical forms.
Discuss Question

186. The letter $$'D'$$  in carbohydrates signifies

A dextrorotatory
B configuration
C diamagnetic nature
D mode of synthesis
Answer :   configuration
Discuss Question

187. Match List $$I$$  ( name of vitamin ) with List $$II$$  ( deficiency result/disease ) and select the correct answer using the codes given below the lists :
List I List II
1. Ascorbic acid a. Beri-beri
2. Retinol b. Cracked lips
3. Riboflavin c. Scurvy
4. Thiamine d. Night blindness

A 1 - b, 2 - a, 3 - c, 4 - d
B 1 - a, 2 - b, 3 - c, 4 - d
C 1- d, 2 - c, 3 - b, 4 - a
D 1 - c, 2 - d, 3 - b, 4 - a
Answer :   1 - c, 2 - d, 3 - b, 4 - a
Discuss Question

188. The two forms of $$D - $$ glucopyranose obtained from the solution of $$D - $$ glucose are called

A Isomers
B Anomers
C Epimers
D Enantiomers
Answer :   Anomers
Discuss Question

189. If one strand of $$DNA$$  has the sequence $$ATGCTTGA,$$    the sequence in the complimentary strand would be

A $$TACGAACT$$
B $$TCCGAACT$$
C $$TACGTACT$$
D $$TACGTAGT$$
Answer :   $$TACGAACT$$
Discuss Question

190. Which of the following reactions of glucose can be explained only by its cyclic structure?

A Glucose forms pentaacetate.
B Glucose reacts with hydroxylamine to form an oxime.
C Pentaacetate of glucose does not react with hydroxylamine.
D Glucose is oxidised by nitric acid to gluconic acid.
Answer :   Pentaacetate of glucose does not react with hydroxylamine.
Discuss Question


Practice More MCQ Question on Chemistry Section