161. Which of the following enzyme converts starch into maltose ?

A Diastase
B Maltase
C Zymase
D Invertase
Answer :   Diastase
Discuss Question

162. Which of the following statements is not correct ?

A Insulin maintains sugar level in the blood of a deoxyribose human body
B Ovalbumin is a simple food reserve in egg white
C Blood proteins thrombin and fibrinogen are involved in blood clotting
D Denaturation makes the proteins more active
Answer :   Denaturation makes the proteins more active
Discuss Question

163. Which of the following vitamins is water soluble?

A Vitamin $$E$$
B Vitamin $$D$$
C Riboflavin
D Retinol
Answer :   Riboflavin
Discuss Question

164. Enzymes are made up of

A edible proteins
B proteins with specific structure
C nitrogen containing carbohydrates
D carbohydrates
Answer :   proteins with specific structure
Discuss Question

165. \[H-C\equiv C-H\xrightarrow[{{H}_{2}}S{{O}_{4}}]{HgS{{O}_{4}}}\left( A \right)\xrightarrow[\left( 2 \right)\,{{H}_{3}}{{O}^{+}}]{\left( 1 \right)\,N{{H}_{3}}+HCN}\left( B \right);\]
Product $$(B)$$  of given reaction is :

A Glycine
B Alanine
C valine
D Leucine
Answer :   Alanine
Discuss Question

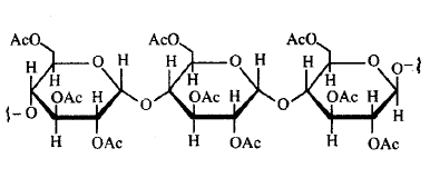
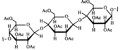
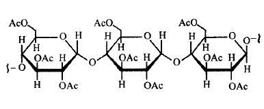
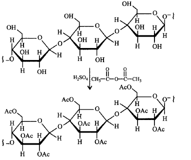
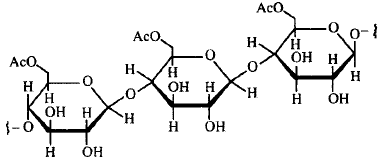
166. Cellulose upon acetylation with excess acetic anhydride / $${H_2}S{O_4}$$  ( catalytic ) gives cellulose triacetate whose structure is

A Biomolecules mcq option image
B Biomolecules mcq option image
C Biomolecules mcq option image
D Biomolecules mcq option image
Answer :   Biomolecules mcq option image
Discuss Question

167. Which one of the following structures represents the peptide chain?

A Biomolecules mcq option image
B Biomolecules mcq option image
C Biomolecules mcq option image
D Biomolecules mcq option image
Answer :   Biomolecules mcq option image
Discuss Question

168. Which of the following statement$$(s)$$ is (are) true ?
(i) All amino acids contain one chiral center.
(ii) Some amino acids contain one, while some contain more chiral center or even no chiral center.
(iii) All amino acids found in proteins have $$L$$  configuration.
(iv) All amino acids found in proteins have $${1^ \circ }$$ amino group.

A (ii), (iii) & (iv)
B (ii) & (iii)
C (i), (iii) & (iv)
D (i) & (iv).
Answer :   (ii) & (iii)
Discuss Question

169. Mark the incorrect example.

A Keratin and myosin - Fibrous proteins
B Insulin and albumins - Globular proteins
C Glycylalanine - Dipeptide
D Enzymes and haemoglobin - Derived proteins
Answer :   Enzymes and haemoglobin - Derived proteins
Discuss Question

170. Which one of the following is an amine hormone?

A Thyroxin
B Oxypurin
C Insulin
D Progesterone
Answer :   Thyroxin
Discuss Question


Practice More MCQ Question on Chemistry Section