81. Compound $${C_2}{H_6}O$$  has two isomers $$X$$ and $$Y.$$ On reaction with $$HI, X$$  gives alkyl iodide and water while $$Y$$ gives alkyl iodide and alcohol. Compounds $$X$$ and $$Y$$ are respectively

A $${C_2}{H_5}O{C_2}{H_5}{\text{ and }}C{H_3}O{C_2}{H_5}$$
B $$C{H_3}OC{H_3}{\text{ and }}{C_2}{H_5}OC{H_3}$$
C $${C_2}{H_5}OH{\text{ and }}C{H_3}OC{H_3}$$
D $$C{H_3}OH{\text{ and }}C{H_3}OC{H_3}$$
Answer :   $${C_2}{H_5}OH{\text{ and }}C{H_3}OC{H_3}$$
Discuss Question

82. Which of the following reagents would distinguish $$cis$$ - cyclopenta -1, 2 - diol from the $$trans$$  - isomer?

A Ozone
B $$Mn{O_2}$$
C Aluminium isopropoxide
D Acetone
Answer :   Acetone
Discuss Question

83. Consider the following reaction,
\[\text{Phenol}\xrightarrow{Zn-\text{dust}}X\xrightarrow[\text{Anhy}\text{.}\,AlC{{l}_{3}}]{C{{H}_{3}}Cl}Y\xrightarrow{\begin{smallmatrix} \text{Alk}\text{.} \\ KMn{{O}_{4}} \end{smallmatrix}}Z\]
The product $$Z$$  is

A toluene
B benzaldehyde
C benzoic acid
D benzene
Answer :   benzoic acid
Discuss Question

84. Thiol group is present in :

A Cysteine
B Methionine
C Cytosine
D Cystine
Answer :   Cysteine
Discuss Question

85. Phenol is heated with a solution of mixture of $$KBr$$  and$$KBr{O_3}.$$  The major product obtained in the above reaction is :

A 2 - Bromophenol
B 3 - Bromophenol
C 4 - Bromophenol
D 2, 4, 6 - Tribromophenol
Answer :   2, 4, 6 - Tribromophenol
Discuss Question

86. Sodium phenoxide when heated with $$C{O_2}$$  under pressure at 125°C yields a product which on acetylation produces $$C.$$
Alcohol, Phenol and Ether mcq question image
The major product C would be

A Alcohol, Phenol and Ether mcq option image
B Alcohol, Phenol and Ether mcq option image
C Alcohol, Phenol and Ether mcq option image
D Alcohol, Phenol and Ether mcq option image
Answer :   Alcohol, Phenol and Ether mcq option image
Discuss Question

87. The $$ - OH$$  group of an alcohol or the $$-COOH$$  group of a carboxylic acid can be replaced by $$-Cl$$  using

A phosphorus pentachloride
B hypochlorous acid
C chlorine
D hydrochloric acid
Answer :   phosphorus pentachloride
Discuss Question

88. The correct sequence of decreasing acidity is

A $${\left( {C{H_3}} \right)_3}COH > {\left( {C{H_3}} \right)_2}CHOH$$       $$ > {C_2}{H_5}OH > C{H_3}OH$$
B $$C{H_3}OH > {C_2}{H_5}OH > {\left( {C{H_3}} \right)_2}CHOH$$        $$ > {\left( {C{H_3}} \right)_3}COH$$
C $${C_2}{H_5}OH > C{H_3}OH > {\left( {C{H_3}} \right)_3}COH$$       $$ > {\left( {C{H_3}} \right)_2}CHOH$$
D $${\left( {C{H_3}} \right)_2}CHOH > {\left( {C{H_3}} \right)_3}COH$$       $$ > {C_2}{H_5}OH > C{H_3}OH$$
Answer :   $$C{H_3}OH > {C_2}{H_5}OH > {\left( {C{H_3}} \right)_2}CHOH$$        $$ > {\left( {C{H_3}} \right)_3}COH$$
Discuss Question

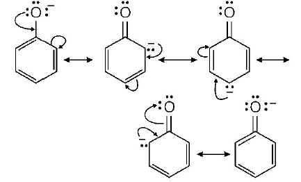
89. The ionisation constant of phenol is higher than that of ethanol because

A phenoxide ion is bulkier than ethoxide
B phenoxide ion is stronger base than ethoxide
C phenoxide ion is stabilised through delocalisation
D phenoxide ion is less stable than ethoxide
Answer :   phenoxide ion is stabilised through delocalisation
Discuss Question

90. For the identification of $$\beta $$ - naphthol using dye test, it is necessary to use

A Dichloromethane solution of $$\beta $$ - naphthol
B Acidic solution of $$\beta $$ - naphthol
C Neutral solution of $$\beta $$ - naphthol
D Alkaline solution of $$\beta $$ - naphthol
Answer :   Alkaline solution of $$\beta $$ - naphthol
Discuss Question


Practice More MCQ Question on Chemistry Section