61. The major product of the following reaction is :
Alcohol, Phenol and Ether mcq question image

A Alcohol, Phenol and Ether mcq option image
B Alcohol, Phenol and Ether mcq option image
C Alcohol, Phenol and Ether mcq option image
D Alcohol, Phenol and Ether mcq option image
Answer :   Alcohol, Phenol and Ether mcq option image
Discuss Question

62. Which of the following is not true in case of reaction with heated copper at $${300^ \circ }C?$$

A Phenol → Benzyl alcohol
B Secondary alcohol → Ketone
C Primary alcohol → Aldehyde
D Tertiary alcohol → Olefin
Answer :   Phenol → Benzyl alcohol
Discuss Question

63. Monochlorination of toluene in sunlight followed by hydrolysis with $$aq.\,NaOH$$   yields

A $$o$$ - cresol
B $$m$$ - cresol
C 2, 4-dihydroxytoluene
D benzyl alcohol
Answer :   benzyl alcohol
Discuss Question

64. The process of converting alkyl halides into alcohols involves

A addition reaction
B substitution reaction
C dehydrohalogenation reaction
D rearrangement reaction
Answer :   substitution reaction
Discuss Question

65. Picric acid is a yellow coloured compound. Its chemical name is

A $$m$$ - nitrobenzoic acid
B 2, 4, 6 - trinitrophenol
C 2, 4, 6 - tribromophenol
D $$p$$ - nitrophenol
Answer :   2, 4, 6 - trinitrophenol
Discuss Question

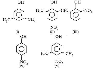
66. The decreasing order of acidic strength of the following is
Alcohol, Phenol and Ether mcq question image

A I > III > IV > II > V
B IV > III > V > II > I
C II > V > IV > III > I
D III > V > II > I > IV
Answer :   IV > III > V > II > I
Discuss Question

67. IUPAC name of the compound \[C{{H}_{3}}\underset{\begin{smallmatrix} |\,\,\,\,\,\, \\ C{{H}_{3}}\, \end{smallmatrix}}{\mathop{-CH-}}\,OC{{H}_{3}}\]     is

A 1-methoxy-1-methylethane
B 2-methoxy-2-methylethane
C 2-methoxypropane
D isopropylmethyl ether
Answer :   2-methoxypropane
Discuss Question

68. How many alcohols with molecular formula $${C_4}{H_{10}}O$$   are chiral in nature?

A 1
B 2
C 3
D 4
Answer :   1
Discuss Question

69. Unlike phenol, 2, 4-dinitrophenol is soluble in sodium carbonate solution in water because

A presence of two $$ - N{O_2}$$  groups in the ring makes 2, 4-dinitrophenol a stronger acid than phenol
B presence of two $$ - N{O_2}$$  groups in the ring makes 2, 4-dinitrophenol a weaker acid than phenol
C presence of two $$ - N{O_2}$$  groups make the hydrogen bonding easier, making 2, 4-dinitrophenol soluble
D nitro group reacts with $$N{a_2}C{O_3}$$  while $$-OH$$  group does not.
Answer :   presence of two $$ - N{O_2}$$  groups in the ring makes 2, 4-dinitrophenol a stronger acid than phenol
Discuss Question

70. Alcohol, Phenol and Ether mcq question image
Product of the reaction is :

A Alcohol, Phenol and Ether mcq option image
B Alcohol, Phenol and Ether mcq option image
C Alcohol, Phenol and Ether mcq option image
D Alcohol, Phenol and Ether mcq option image
Answer :   Alcohol, Phenol and Ether mcq option image
Discuss Question


Practice More MCQ Question on Chemistry Section