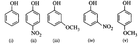
161. Mark the correct order of decreasing acid strength of the following compounds.
Alcohol, Phenol and Ether mcq question image

A (v) > (iv) > (ii) > (i) > (iii)
B (ii) > (iv) > (i) > (iii) > (v)
C (iv) > (v) > (iii) > (ii) > (i)
D (v) > (iv) > (iii) > (ii) > (i)
Answer :   (ii) > (iv) > (i) > (iii) > (v)
Discuss Question

162. Which of the following reagents cannot be used to oxidise primary alcohols to aldehydes?

A $$Cr{O_3}$$  in anhydrous medium
B $$KMn{O_4}$$  in acidic medium
C Pyridinium chlorochromate
D Heat in the presence of $$Cu$$  at $$573\,K$$
Answer :   $$KMn{O_4}$$  in acidic medium
Discuss Question

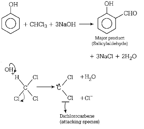
163. When phenol is treated with $$CHC{l_3}$$  and $$NaOH$$  the product formed is

A benzaldehyde
B salicylaldehyde
C salicylic acid
D benzoic acid
Answer :   salicylaldehyde
Discuss Question

164. Which one of the following compounds is most acidic ?

A Alcohol, Phenol and Ether mcq option image
B Alcohol, Phenol and Ether mcq option image
C Alcohol, Phenol and Ether mcq option image
D Alcohol, Phenol and Ether mcq option image
Answer :   Alcohol, Phenol and Ether mcq option image
Discuss Question

165. An organic compound $$A$$  reacts with methyl magnesium iodide to form an addition product which on hydrolysis forms the compound $$B.$$  Compound $$B$$  gives blue colour salt in Victor Meyer’s test. The compounds $$A$$  and $$B$$  are respectively

A acetaldehyde, tertiary butyl alcohol
B acetaldehyde, ethyl alcohol
C acetaldehyde, isopropyl alcohol
D acetone, isopropyl alcohol
Answer :   acetaldehyde, isopropyl alcohol
Discuss Question

166. \[{{\left( C{{H}_{3}} \right)}_{3}}C-C{{H}_{2}}OH\xrightarrow[{{170}^{\circ }}C]{\text{Conc}.\,{{H}_{2}}S{{O}_{4}}}X\]
In the reaction, $$X$$ is

A $${\left( {C{H_3}} \right)_2}C = CHC{H_3}$$
B $$C{H_3}C \equiv CH$$
C $${\left( {C{H_3}} \right)_2}CHC{H_2}C{H_3}$$
D \[C{{H}_{3}}-C{{H}_{2}}\underset{\begin{smallmatrix} |\,\, \\ \,\,C{{H}_{3}} \end{smallmatrix}}{\mathop{-C=}}\,C{{H}_{2}}\]
Answer :   $${\left( {C{H_3}} \right)_2}C = CHC{H_3}$$
Discuss Question

167. The major product of acid catalysed dehydration of 2-methylcyclohexanol and butan-1-ol are respectively

A 1-methylcyclohexene and but-1-ene
B 2-methylcyclohexene and but-2-ene
C 2-methylcyclohexene and butane
D 1-methylcyclohexene and but-2-ene
Answer :   1-methylcyclohexene and but-1-ene
Discuss Question

168. The decreasing order of boiling points of the following alcohols is

A 3-methylbutan-2-ol > 2-methylbutan-2-ol > pentan-1-ol
B pentan-1-ol > 3-methylbutan-2-ol > 2-methylbutan-2-ol
C 2-methylbutan-2-ol > 3-methylbutan-2-ol > pentan-1-ol
D 2-methylbutan-2-ol > pentan-1-ol > 3-methylbutan-2-ol
Answer :   pentan-1-ol > 3-methylbutan-2-ol > 2-methylbutan-2-ol
Discuss Question

169. The heating of phenyl-methyl ethers with $$HI$$ produces.

A ethyl chlorides
B iodobenzene
C phenol
D benzene
Answer :   phenol
Discuss Question

170. What is $$Z$$ in the following sequence of reactions ?
\[Z\xrightarrow{PC{{l}_{5}}}X\xrightarrow{Alc.\,KOH}Y\]     \[\xrightarrow[\left( \text{ii} \right)\,{{H}_{2}}O;\,\text{boil}]{\left( \text{i} \right)\,Conc.\,{{H}_{2}}S{{O}_{4}}}Z\]

A $$C{H_3}C{H_2}C{H_2}OH$$
B $$C{H_3}CH\left( {OH} \right)C{H_3}$$
C $${\left( {C{H_3}C{H_2}} \right)_2}CHOH$$
D $$C{H_3}CH = C{H_2}$$
Answer :   $$C{H_3}CH\left( {OH} \right)C{H_3}$$
Discuss Question


Practice More MCQ Question on Chemistry Section