201. The reaction of hydrogen and iodine monochloride is given as $${H_2}\left( g \right) + 2ICl\left( g \right) \to $$     $$2HCl\left( g \right) + {I_2}\left( g \right)$$
This reaction is of first order with respect to $${H_2}\left( g \right)$$  and $$ICl\left( g \right),$$  following mechanisms were proposed
Mechanism $$A$$
$${H_2}\left( g \right) + 2ICl\left( g \right) \to $$     $$2HCl\left( g \right) + {I_2}\left( g \right)$$
Mechanism $$B$$
$${H_2}\left( g \right) + ICl\left( g \right) \to $$     $$HCl\left( g \right) + HI\left( g \right),{\text{slow}}$$
$$HI\left( g \right) + ICl\left( g \right) \to $$     $$HCl\left( g \right) + {I_2}\left( g \right),{\text{fast}}$$
Which of the above mechanism $$(s)$$ can be consistent with the given information about the reaction?

A Only $$B$$
B Both $$A$$ and $$B$$
C Neither $$A$$ nor $$B$$
D Only $$A$$
Answer :   Only $$B$$
Discuss Question

202. If half-life of a substance is 5 yrs, then the total amount of substance left after 15 years, when initial amount is 64 grams is

A 16 grams
B 2 grams
C 32 grams
D 8 grams.
Answer :   8 grams.
Discuss Question

203. The overall rate of a reaction is governed by

A the rate of fastest intermediate step
B the sum of the rates of all intermediate steps
C the average of the rates of all the intermediate steps
D the rate of slowest intermediate step
Answer :   the rate of slowest intermediate step
Discuss Question

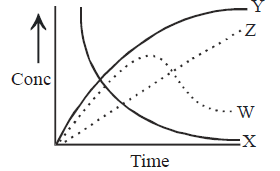
204. For the reaction $$A + B \to C + D.$$    The variation of the concentration of the products is given by the curve
Chemical Kinetics mcq question image

A $$Z$$
B $$Y$$
C $$W$$
D $$X$$
Answer :   $$Y$$
Discuss Question

205. A graph of volume of hydrogen released vs time for the reaction between zinc and dil. $$HCl$$  is given in figure. On the basis of this mark the correct option.
Chemical Kinetics mcq question image

A Average rate upto 40 seconds is $$\frac{{{V_3} - {V_2}}}{{40}}$$
B Average rate upto 40 seconds is $$\frac{{{V_3} - {V_2}}}{{40 - 30}}$$
C Average rate upto 40 seconds is $$\frac{{{V_3}}}{{40}}$$
D Average rate upto 40 seconds is $$\frac{{{V_3} - {V_1}}}{{40 - 20}}$$
Answer :   Average rate upto 40 seconds is $$\frac{{{V_3}}}{{40}}$$
Discuss Question

206. In a reaction, $$2X \to Y,$$   the concentration of $$X$$ decreases from $$0.50\,M$$  to $$0.38\,M$$  in $$10\,\min .$$  What is the rate of reaction in $$M\,{s^{ - 1}}$$  during this interval?

A $$1 \times {10^{ - 4}}$$
B $$4 \times {10^{ - 2}}$$
C $$2 \times {10^{ - 2}}$$
D $$1 \times {10^{ - 2}}$$
Answer :   $$1 \times {10^{ - 4}}$$
Discuss Question

207. In the presence of an acid, the initial concentration of cane sugar was reduced from $$0.20$$  to $$0.10\,M$$  in 5 hours and from $$0.2$$  to $$0.05\,M$$  in 10 hours. The reaction is of :

A Zero order
B First order
C Second order
D Third order
Answer :   First order
Discuss Question

208. The half-life of the reaction $$X \to Y,$$  following first order kinetics, when the initial concentration of $$X$$ is $$0.01\,mol\,{L^{ - 1}}$$   and initial rate is \[0.00352\,mol\,{{L}^{-1}}\,{{\min }^{-1}}\]     will be

A $$19.69\,\min .$$
B $$1.969\,\min .$$
C $$7.75\,\min .$$
D $$77.5\,\min .$$
Answer :   $$1.969\,\min .$$
Discuss Question

209. Which one of the following statements is not correct?

A Catalyst does not initiate any reaction
B The value of equilibrium constant is changed in the presence of a catalyst in the reaction equilibrium
C Enzymes catalyse mainly biochemical reaction
D Coenzymes increase the catalytic activity of enzyme
Answer :   The value of equilibrium constant is changed in the presence of a catalyst in the reaction equilibrium
Discuss Question

210. In a reaction, $$2A \to $$  products, the concentration of $$A$$ decreases from $$0.50\,M$$  to $$0.38\,M$$  in $$10\,\min .$$  What is the rate of reaction $$\left( {{\text{in}}\,M\,{s^{ - 1}}} \right)$$   during this interval ?

A $$0.012$$
B $$0.024$$
C $$2 \times {10^{ - 3}}$$
D $$2 \times {10^{ - 4}}$$
Answer :   $$2 \times {10^{ - 4}}$$
Discuss Question


Practice More MCQ Question on Chemistry Section