291. Which is the most suitable reagent among the following to distinguish compound (iii) from rest of the compounds?
$$\eqalign{ & {\text{(i)}}\,C{H_3} - C \equiv C - C{H_3} \cr & {\text{(ii)}}\,C{H_3} - C{H_2} - C{H_2} - C{H_3} \cr & {\text{(iii)}}\,C{H_3} - C{H_2} - C \equiv CH \cr & {\text{(iv)}}\,C{H_3} - CH = C{H_2} \cr} $$

A $$\frac{{B{r_2}}}{{CC{l_4}}}$$
B $$\frac{{B{r_2}}}{{C{H_3}COOH}}$$
C $$Alk.\,KMn{O_4}$$
D $${\text{Ammoniacal}}\,AgN{O_3}$$
Answer :   $${\text{Ammoniacal}}\,AgN{O_3}$$
Discuss Question

292. \[\left( A \right)\xrightarrow{{{H}_{2}}\left( 1\,mole \right)/Pt}\]     Hydrocarbons (Alkane, Alkene and Alkyne) mcq question image
Double bond equivalent ( degree of unsaturation ) of $$(A)$$  is :

A 1
B 2
C 3
D 4
Answer :   3
Discuss Question

293. Predict the product $$(A)$$  of the following reaction Hydrocarbons (Alkane, Alkene and Alkyne) mcq question image

A Hydrocarbons (Alkane, Alkene and Alkyne) mcq option image
B Hydrocarbons (Alkane, Alkene and Alkyne) mcq option image
C Hydrocarbons (Alkane, Alkene and Alkyne) mcq option image
D Hydrocarbons (Alkane, Alkene and Alkyne) mcq option image
Answer :   Hydrocarbons (Alkane, Alkene and Alkyne) mcq option image
Discuss Question

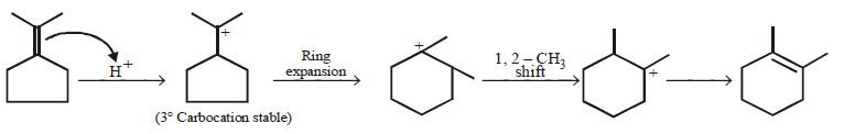
294. Consider the following reaction
Hydrocarbons (Alkane, Alkene and Alkyne) mcq question image
Identify the structure of the major product $$'X'$$

A Hydrocarbons (Alkane, Alkene and Alkyne) mcq option image
B Hydrocarbons (Alkane, Alkene and Alkyne) mcq option image
C Hydrocarbons (Alkane, Alkene and Alkyne) mcq option image
D Hydrocarbons (Alkane, Alkene and Alkyne) mcq option image
Answer :   Hydrocarbons (Alkane, Alkene and Alkyne) mcq option image
Discuss Question

295. Which one of the following gives only one monochloro derivative?

A $$neo$$  - Pentane
B $$n$$ - Hexane
C 2 - Methylpentane
D 3 - Methylpentane
Answer :   $$neo$$  - Pentane
Discuss Question

296. In the commercial gasolines, the type of hydrocarbons which is more desirable, is

A branched hydrocarbon
B straight chain hydrocarbon
C linear, unsaturated hydrocarbon
D toluene
Answer :   branched hydrocarbon
Discuss Question

297. Toluene on treatment with $$Cr{O_3}$$  and $${\left( {C{H_3}CO} \right)_2}O$$    followed by hydrolysis with $$dil.HCl$$   gives

A benzaldehyde
B benzoic acid
C phenol
D phenylacetaldehyde
Answer :   benzaldehyde
Discuss Question


Practice More MCQ Question on Chemistry Section