31. Complete the given equations :
$$\left( {\text{i}} \right)Cu + 8HN{O_3} \to 3Cu{\left( {N{O_3}} \right)_2}$$       $$ + \underline W + 4{H_2}O$$
$$\left( {{\text{ii}}} \right)4Zn + 10HN{O_3} \to 4Zn{\left( {N{O_3}} \right)_2}$$       $$ + 5{H_2}O + \underline X $$
$$\left( {{\text{iii}}} \right){I_2} + 10HN{O_3} \to \underline Y + 10N{O_2}$$       $$ + 4{H_2}O$$
$$W$$ $$X$$ $$Y$$
(a) $$2N{O_2}$$ $$NO$$ $$5HI{O_3}$$
(b) $$2NO$$ $${N_2}O$$ $$2HI{O_3}$$
(c) $${N_2}$$ $$N{O_2}$$ $$HI$$
(d) $${N_2}O$$ $$N{O_2}$$ $$3HI$$

A (a)
B (b)
C (c)
D (d)
Answer :   (b)
Discuss Question

32. Which reaction is not feasible?

A $$2Kl + B{r_2} \to 3KBr + {I_2}$$
B $$2KBr + {I_2} \to 2Kl + B{r_2}$$
C $$2KBr + C{l_2} \to 2KCl + B{r_2}$$
D $$2{H_2}O + 2{F_2} \to 4HF + {O_2}$$
Answer :   $$2KBr + {I_2} \to 2Kl + B{r_2}$$
Discuss Question

33. Choose the correct sequence for the geometry of the given molecules
Borazone, Borazole, $${B_3}O_6^{3 - }$$
[ $$'P'$$  stands for planar and $$'N'$$  stands for nonplanar ]

A $$NP,NP,NP$$
B $$P,P,NP$$
C $$NP,P,NP$$
D $$NP,P,P$$
Answer :   $$NP,P,P$$
Discuss Question

34. Which of the following properties of aluminium makes it useful for food packaging ?

A Good electrical conductivity
B Good thermal conductivity
C Low density
D Non toxicity
Answer :   Low density
Discuss Question

35. Consider the following oxides :
$$\eqalign{ & \left( {\text{i}} \right)O{F_2} \cr & \left( {{\text{ii}}} \right)C{l_2}O \cr & \left( {{\text{iii}}} \right)B{r_2}O \cr} $$
The correct sequence of $$X-O-X$$   bond angle is

A (i) > (ii) > (iii)
B (iii) > (ii) > (i)
C (ii) > (i) > (iii)
D (i) > (iii) > (ii)
Answer :   (iii) > (ii) > (i)
Discuss Question

36. An alkali metal hydride $$\left( {NaH} \right)$$  reacts with diborane in $$'A'$$ to give a tetrahedral compound $$'B'$$ which is extensively used as reducing agent in organic synthesis. The compounds $$'A'$$ and $$'B'$$ respectively are

A $$C{H_3}COC{H_3}\,\,{\text{and}}\,\,{B_3}{N_3}{H_6}$$
B $${\left( {{C_2}{H_5}} \right)_2}O\,\,{\text{and}}\,\,NaB{H_4}$$
C $${C_2}{H_6}\,\,{\text{and}}\,\,{C_2}{H_5}Na$$
D $${C_6}{H_6}\,\,{\text{and}}\,\,NaB{H_4}$$
Answer :   $${\left( {{C_2}{H_5}} \right)_2}O\,\,{\text{and}}\,\,NaB{H_4}$$
Discuss Question

37. Which of the following statements is incorrect?

A $$S{O_3}$$  is a stronger oxidising agent and more acidic than $$S{O_2}.$$
B Selenium forms only two oxoacids i.e.,selenous acid $$\left( {{H_2}Se{O_3}} \right)$$   and selenic acid $$\left( {{H_2}Se{O_4}} \right).$$
C The acidic strength and oxidising power of oxoacids is greater in + 6 oxidation state than in + 4 oxidation state.
D The thermal stability of oxides of group 16 elements decreases in the order : $$S{O_2} > Se{O_2} > Te{O_2} > Po{O_2}.$$
Answer :   The thermal stability of oxides of group 16 elements decreases in the order : $$S{O_2} > Se{O_2} > Te{O_2} > Po{O_2}.$$
Discuss Question

38. Chlorine acts as a bleaching agent only in presence of

A dryair
B moisture
C sunlight
D pure oxygen
Answer :   moisture
Discuss Question

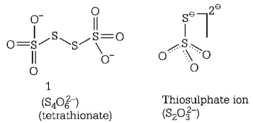
39. In which pair of ions both the species contain $$S—S$$  bond?

A $${S_2}O_7^{2 - },{S_2}O_3^{2 - }$$
B $${S_4}O_6^{2 - },{S_2}O_3^{2 - }$$
C $${S_2}O_7^{2 - },{S_2}O_8^{2 - }$$
D $${S_4}O_6^{2 - },{S_2}O_7^{2 - }$$
Answer :   $${S_4}O_6^{2 - },{S_2}O_3^{2 - }$$
Discuss Question

40. A white precipitate is obtained on hydrolysis of

A $$PC{l_5}$$
B $$NC{l_3}$$
C $$BiC{l_3}$$
D $$AsC{l_3}$$
Answer :   $$BiC{l_3}$$
Discuss Question


Practice More MCQ Question on Chemistry Section